EasyManua.ls Logo

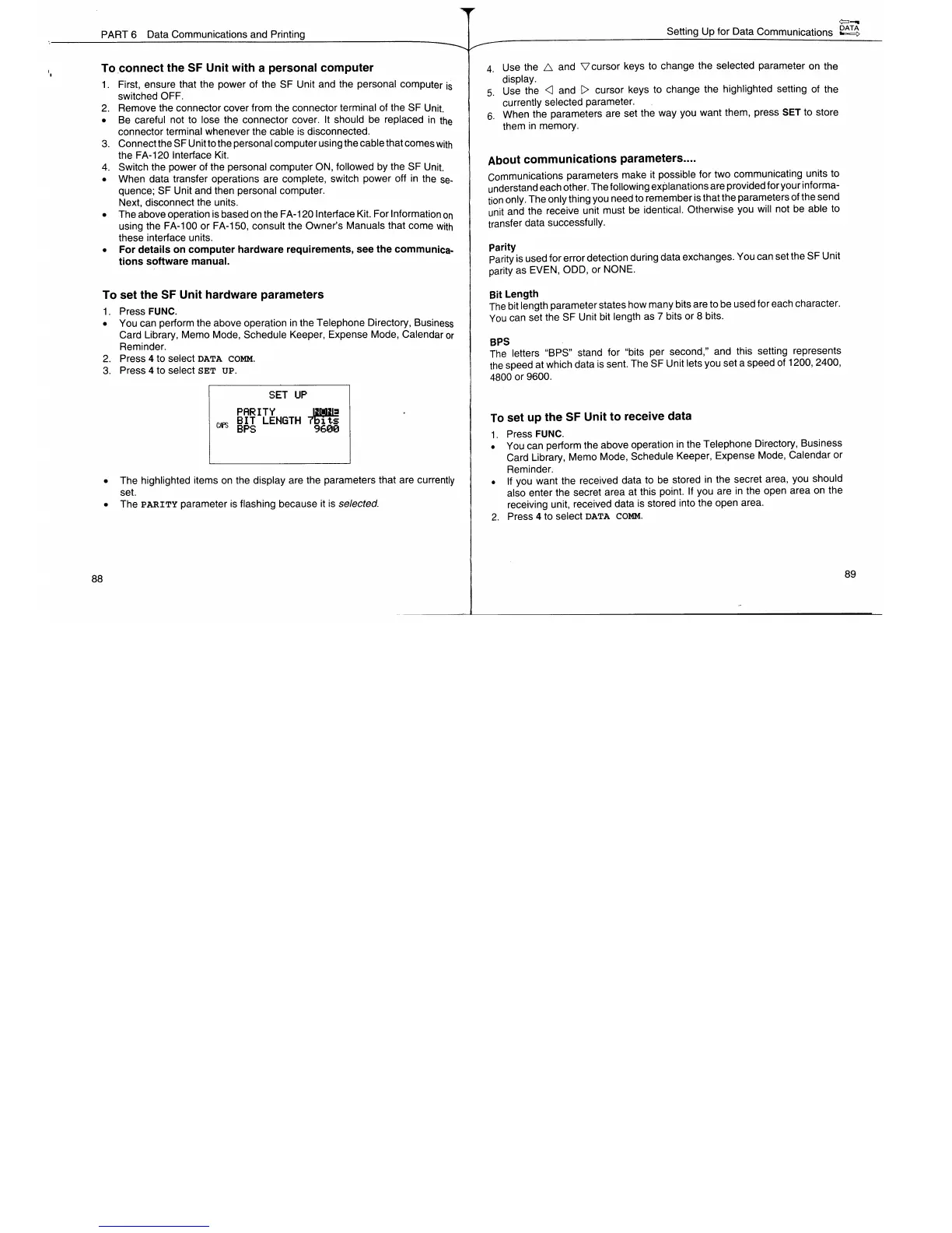
Casio SF-7900 - To Connect the SF Unit with a Personal Computer; To Set the SF Unit Hardware Parameters; About Communications Parameters; To Set up SF Unit to Receive Data

Casio SF-7900
59 pages
Print Icon
To Next Page IconTo Next Page
To Next Page IconTo Next Page
To Previous Page IconTo Previous Page
To Previous Page IconTo Previous Page
Loading...

Table of Contents

Related product manuals