EasyManua.ls Logo

CAT 3412C - Generator Operation; Loading the Generator; Block Loading Capability

CAT 3412C
162 pages
Print Icon
To Next Page IconTo Next Page
To Next Page IconTo Next Page
To Previous Page IconTo Previous Page
To Previous Page IconTo Previous Page
Loading...
Generator Operation
i02231520
Generator Operation
SMCS Code: 4450
Loading of the Generator
When a generator is installed or reconnected, be
sure that the total current in one phase does not
exceed the nameplate rating. Each phase should
carry the same load. This allows the engine to work
at the rated capacity. If one phase current exceeds
the nameplate amperage, an electrical unbalance
can result in an electrical overload and overheating .
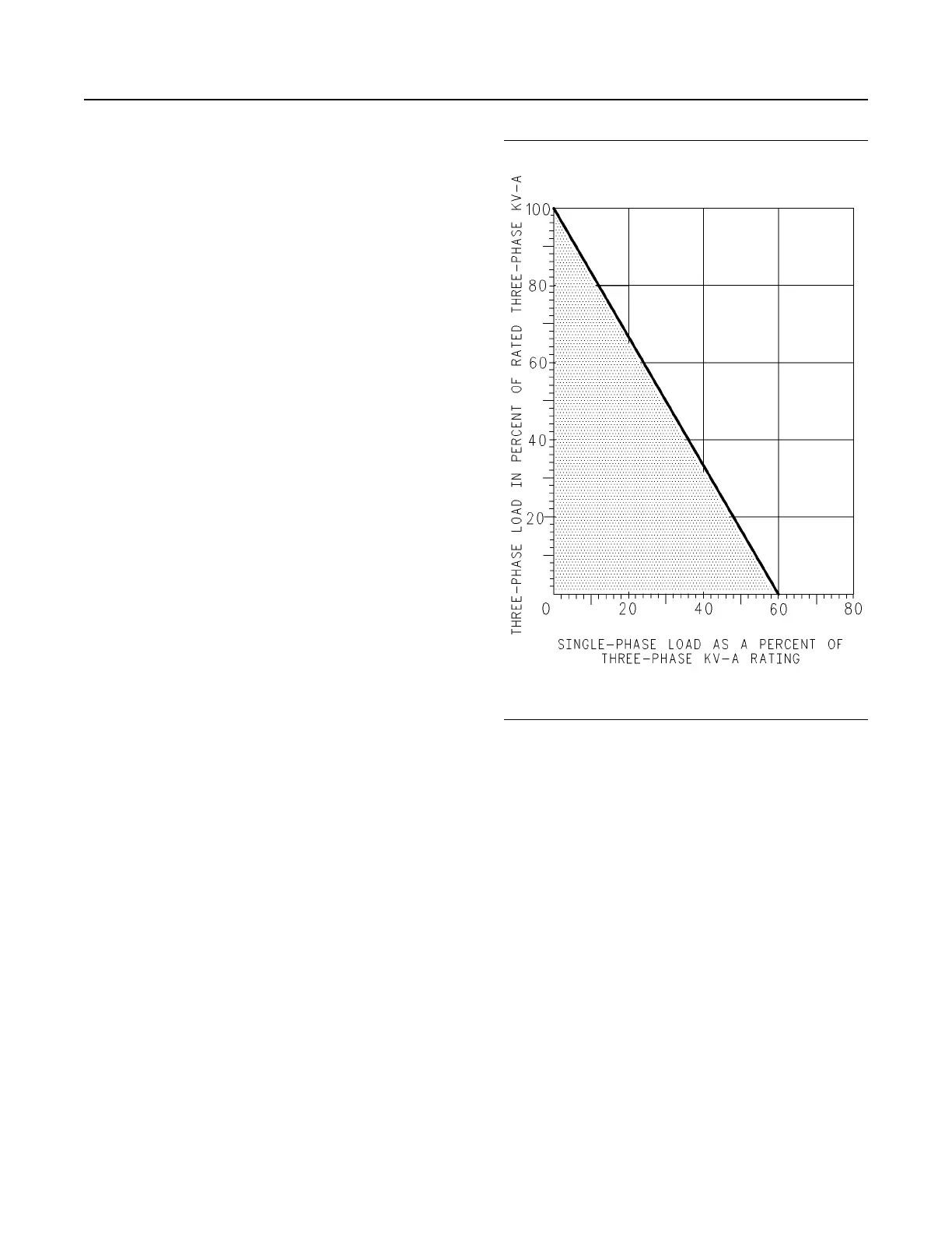
Allowable combinations of unbalanced loads are
shown in Illustration 93 . When you operate with
significant single-phase loads, the combinations of
single-phase load and three-phase load may be
used. Such combinations should be located below
the line on the graph.
Illustration 93 g00627416
Allowable Combinations of Unbalanced Loads
Block Loading
Block loading is the instantaneous application of an
electrical load to a generator set. This load may be
anywhere from a moderate percentage of the rated
load up to the rated load.
The block loading capability of a generator set
depends on the following factors.
Engine transient response
Voltage regulator response
Type of the voltage regulator
Altitude of operation of the generator set
Type of load
Percent of load before the block load is applied
SEBU7125-13
93
Operation Section
Generator Operation

Related product manuals