EasyManua.ls Logo

Clean Air Optima CA-704 - Page 52

Clean Air Optima CA-704
156 pages
Print Icon
To Next Page IconTo Next Page
To Next Page IconTo Next Page
To Previous Page IconTo Previous Page
To Previous Page IconTo Previous Page
Loading...
52
La température ambiante augmente pendant le fonctionnement
Le déshumidificateur Clean Air Optima® n'a pas de fonction de refroidissement. L'appareil émet
de la chaleur pendant son fonctionnement, ce qui fera augmenter de 1 °C à 4 °C la température
dans la pièce.
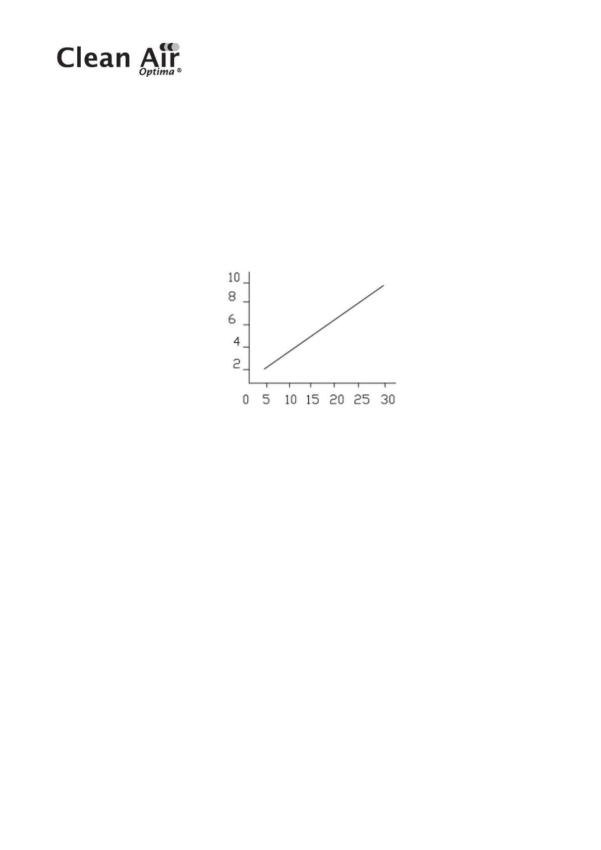
Capacité de déshumidification
L'illustration ci-dessous donne un aperçu de la capacité de déshumidification du
déshumidificateur Clean Air Optima®. La capacité de déshumidification de l’appareil varie
enfonction de la température et de l’humidité relative.
Humidité 80%
Capacité de déshumidification
Température ambiante
Avertissement!
N’endommagez pas les filtres, les filtres ne peuvent pas être fissurés. Les filtres endommagés
doivent être remplacés.
Ne jamais mouiller ni rincer les filtres à l’eau (seulement pour le filtre à charbon actif et le filtre
True HEPA H13). Les filtres rincés à l’eau doivent être remplacés.
Signes d’usure indiquant que les filtres doivent être remplacés
(seulement pour le filtre à charbon actif et le filtre True HEPA H13)
Augmentation du bruit, débit d’air réduit, filtres encombrés, odeurs de plus en plus fortes.
Lesfiltres doivent également être remplacés lorsque le filtre True HEPA H13 change de couleur
et passe du blanc au gris ou au noir. Tantque le filtre True HEPA H13 reste blanc, il N’EST PAS
nécessaire de remplacer les filtres.
Comment commander des filtres:
Contactez le service après-vente de Clean Air Optima® au numéro + 31 (0) 742670145 ou visitez
notre boutique en ligne à l’adresse: https://www.cleanairoptima.com/accessoires/mg/44/
Stockage du déshumidificateur Clean Air Optima®
En cas de non-utilisation du déshumidificateur durant une période prolongée:
1. Vidangez complètement le réservoir d’eau et assurez-vous qu’il ne contient plus d’eau.
2. Débranchez l’appareil et repliez le cordon d’alimentation.
3. Retirez les filtres pour les nettoyer. Après le nettoyage, replacez-les dans l’appareil.
4. Rangez le déshumidificateur dans un endroit frais et sec, à l’abri des rayons directs du soleil,
des températures extrêmes et de la poussière.

Related product manuals