EasyManua.ls Logo

Clean Air Optima CA-704 - Page 80

Clean Air Optima CA-704
156 pages
Print Icon
To Next Page IconTo Next Page
To Next Page IconTo Next Page
To Previous Page IconTo Previous Page
To Previous Page IconTo Previous Page
Loading...
80
Temperatura w pomieszczeniu wzrasta podczas pracy
Osuszacz Clean Air Optima® nie ma funkcji chłodzenia. Podczas pracy urządzenie wytwarza
ciepło i podwyższa temperaturę w pomieszczeniu od 1°C do 4°C.
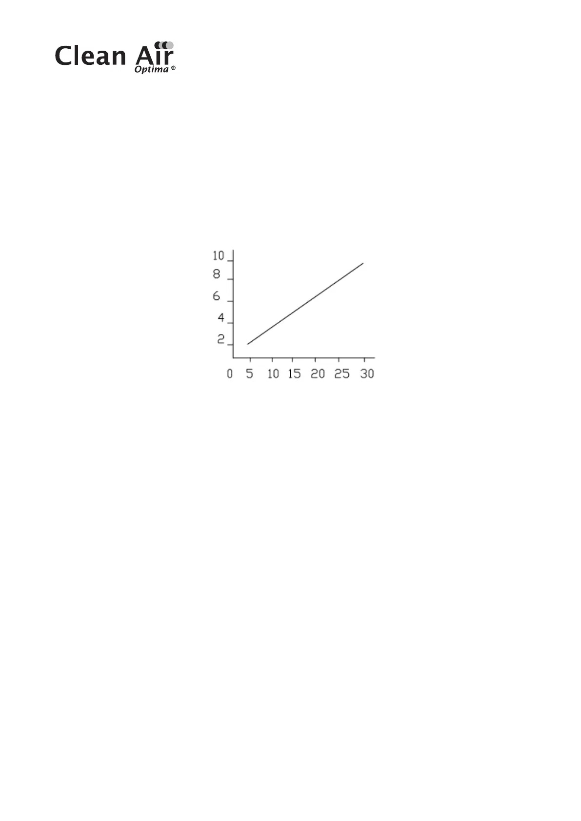
Wydajność osuszania
Poniższa ilustracja przedstawia wydajność osuszania urządzenia Clean Air Optima®.
Przyróżnych temperaturach i wilgotności względnej osuszacz może mieć różną wydajność
osuszania.
Wilgotność 80%
Wydajność osuszania
Temperatura pokojowa
Ostrzeżenie!
Należy uważać, aby nie uszkodzić filtrów! Filtry nie mogą być pęknięte. Uszkodzone filtry należy
wymienić.
Nie należy moczyć ani zanurzać filtrów (tylko w przypadku filtra z węglem aktywowanym i filtra
True HEPA H13) w wodzie. Filtry zamoczone w wodzie należy wymienić.
Oznaki zużycia filtrów, które należy wymienić
(tylko w przypadku filtra z węglem aktywnym ifiltra True HEPA H13): zwiększony hałas,
zredukowany przepływ powietrza, zatkane filtry, coraz bardziej odczuwalne nieprzyjemne
zapachy. Filtry należy także wymienić na nowe, gdy filtr True HEPA H13 zmienia kolor z białego
na szary lub czarny. Jeśli filtr True HEPA H13 pozostaje biały, NIE trzeba go wymieniać.
Sposób zamawiania filtrów:
Należy skontaktować się z działem obsługi klienta Clean Air Optima® pod numerem telefonu
+ 31 (0) 742670145 lub odwiedzić nasz sklep internetowy: https://www.cleanairoptima.com/
accessoires/mg/44/
Przechowywanie osuszacza Clean Air Optima®
Jeżeli osuszacz ma nie być używany przez dłuższy okres:
1. Całkowicie opróżnić zbiornik na wodę i upewnić się, że w środku zbiornika nic nie pozostało.
2. Odłączyć urządzenie od zasilania i złożyć przewód zasilający.
3. Wyjąć i wyczyścić filtry. Po czyszczeniu ponownie włożyć filtr do urządzenia.
4. Osuszacz należy przechowywać w chłodnym, suchym miejscu, chronić przed bezpośrednim
nasłonecznieniem, bardzo niską i wysoką temperaturą oraz nadmiernym zapyleniem.

Related product manuals