EasyManua.ls Logo

Commodore HPD1500LB - Page 33

Commodore HPD1500LB
41 pages
Print Icon
To Next Page IconTo Next Page
To Next Page IconTo Next Page
To Previous Page IconTo Previous Page
To Previous Page IconTo Previous Page
Loading...
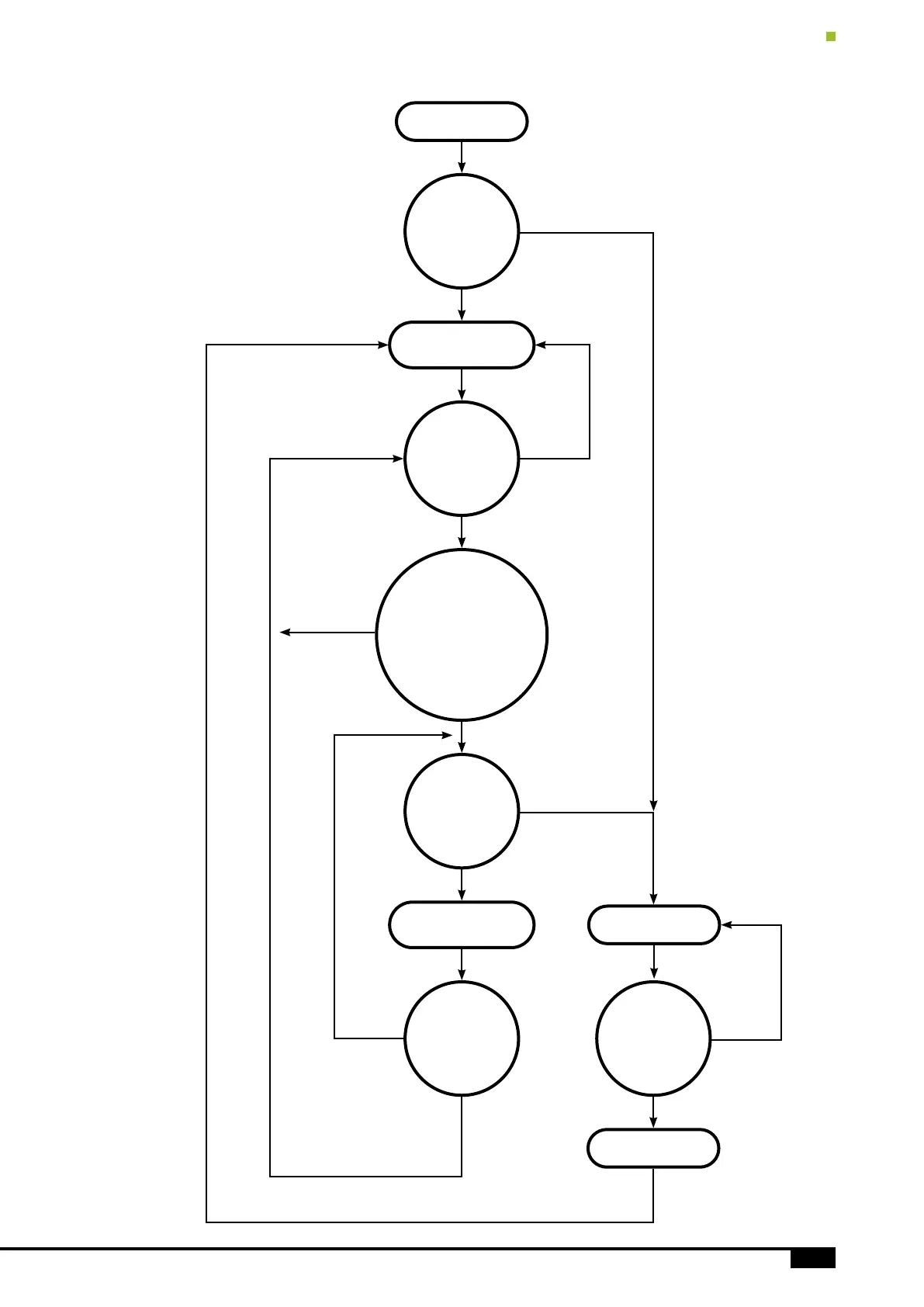
SOLAR PUMPING INVERTER I USER MANUAL
33
Inverter running
with Solar Power
Power On
Solar Valid
AC output
Frequency
<=25hz?
AC output
frequency below
minimum value,
Continue Time
Count > 20 seconds
Standby, inverter
stop running
AC Input Valid?
Standby Time
Count >20
minutes?
Hybrid Mode Run
Solar power
enough for 25hz
ac output?
Exit Hybrid Mode
NO
NO
YES
YES
NO
YES
NO
YES
NONO
YES YES