EasyManua.ls Logo

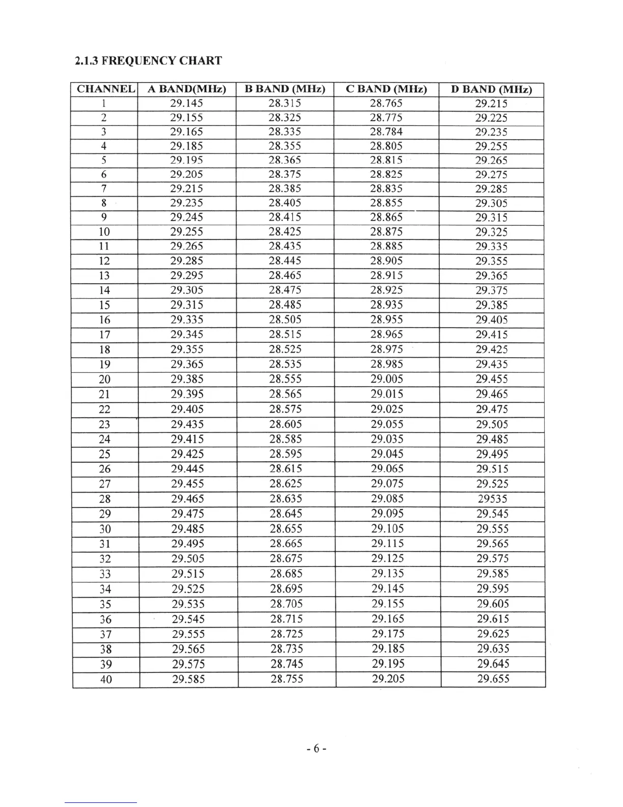
Connex CX-4400 - Frequency Chart

Connex CX-4400
16 pages
Print Icon
To Next Page IconTo Next Page
To Next Page IconTo Next Page
To Previous Page IconTo Previous Page
To Previous Page IconTo Previous Page
Loading...