EasyManua.ls Logo

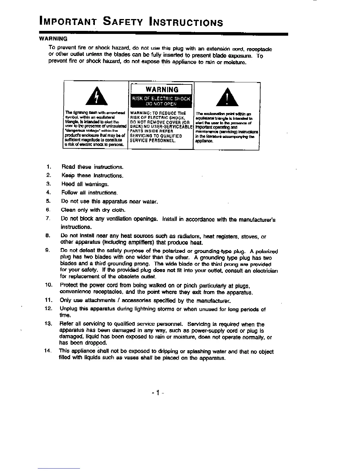
Curtis RCD897 - Important Safety Instructions; Warning

Curtis RCD897
14 pages
Print Icon
To Next Page IconTo Next Page
To Next Page IconTo Next Page
To Previous Page IconTo Previous Page
To Previous Page IconTo Previous Page
Loading...

Related product manuals