EasyManua.ls Logo

CycleOps SuperMagneto Pro - Page 8

CycleOps SuperMagneto Pro
10 pages
Print Icon
To Next Page IconTo Next Page
To Next Page IconTo Next Page
To Previous Page IconTo Previous Page
To Previous Page IconTo Previous Page
Loading...
8
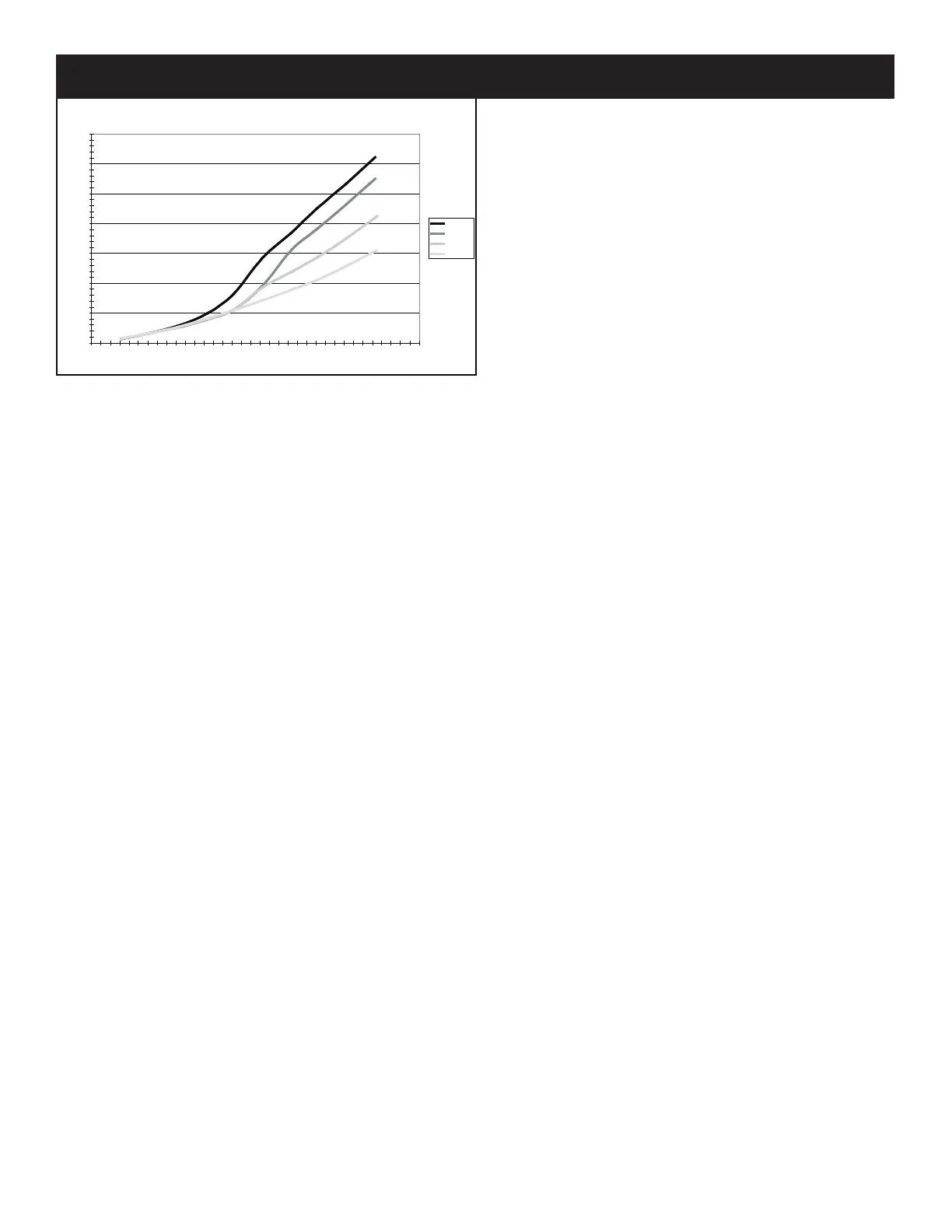
Intensity and duration of training will vary drastically from athlete to athlete.
Whether you are training to increase endurance, to lose weight, to be at the
front of the pack on your weekly group ride, or are warming up for races,
the CycleOps SuperMagnetoTM Pro offers enough variety to address all these
training needs and more. The four settings offer four distict power curves,
each calculating the power you must use to maintain the corresponding speed.
The four progressive curves of the CycleOps SuperMagnetoTM Pro start with
lower power and quickly ramp up as your speed increases. You can change the
resistance of the trainer to meet your unique goals and fitness levels.
As you get fitter and your goals change, the CycleOps SuperMagnetoTM Pro
grows along with you.
La intensidad y duración del entrenamiento varía considerablemente de una persona
a otra. Tanto si está entrenándose para aumentar la resistencia, para perder peso o
para ponerse a la cabeza del pelotón en sus sesiones en grupo de fin de semana o
está calentando para una carrera, CycleOps SuperMagnetoTM Pro le ofrece una
variedad suficiente para dar respuesta a estas necesidades de entrenamiento y a
muchas otras. Las cuatro configuraciones ofrecen cuatro curvas de potencia
distintas, cada una de ellas calcula la potencia que debe utilizar para mantener la
velocidad correspondiente. Las cuatro curvas progresivas de CycleOps
SuperMagnetoTM Pro empiezan por una potencia baja que aumenta rápidamente
conforme se incrementa la velocidad. Puede cambiar la resistencia del aparato para
satisfacer sus objetivos y niveles de entrenamiento particulares. Conforme se pone
en forma y cambian sus objetivos, CycleOps SuperMagnetoTM Pro crece a su ritmo.
SuperMagneto Pro
0
100
200
300
400
500
600
700
0 5 10 15 20 25 30 35
Speed (mph)
Power (watts)
Mountain
Interval
Road
Easy
L’intensité et la durée de l’entraînement varient sensiblement entre athlètes.
Le CycleOps SuperMagnetoTM Pro offre suffisamment de polyvalence pour faire face
à tous vos besoins d’entraînement, quelle que soit la finalité de l’exercice :
augmenter votre endurance, rester en tête du peloton lors de vos sorties
hebdomadaires ou vous échauffer pour la course. Les quatre réglages correspondent
à quatre courbes de puissance distinctes, qui calculent chacune la puissance que
vous devez mettre en œuvre pour maintenir la vitesse appropriée. Les quatre
courbes progressives du CycleOps SuperMagnetoTM Pro commencent toutes avec
une résistance faible puis accélèrent rapidement avec la vitesse. Vous pouvez
modifier la résistance de l’appareil d’entraînement de façon à la faire correspondre à
vos objectifs et à votre forme. Le CycleOps SuperMagnetoTM Pro vous
accompagnera au fur et à mesure que votre forme s’améliorera et que vos objectifs
évolueront.
Trainingsintensität und -dauer unterscheiden sich von Athlet zu Athlet drastisch.
Egal, ob Sie trainieren, um die Ausdauer zu erhöhen, um Gewicht zu verlieren,
um an der Spitze Ihrer wöchentlichen Gruppenfahrt zu fahren oder um sich für
Rennen aufzuwärmen, der CycleOps SuperMagnetoTM Pro bietet die Vielfalt,
um all diese Trainingsanforderungen und mehr zu erfüllen. Die vier Einstellungen
bieten vier verschiedenartige Leistungskurven, von denen jede die Leistung
errechnet, die Sie erbringen müssen, um die dazugehörige Geschwindigkeit
beizubehalten. Die vier progressiven Kurven von CycleOps SuperMagnetoTM Pro
beginnen mit geringer Leistung und steigen schnell an, sobald Ihre Geschwindigkeit
zunimmt. Sie können den Widerstand des Trainers ändern, um ihn an Ihre
individuellen Ziele und Fitness anzupassen. Wenn Ihre Fitness zunimmt und sich Ihre
Ziele ändern, wächst der CycleOps SuperMagnetoTM Pro zusammen mit Ihnen mit.
L’intensità e la durata dell’allenamento variano sensibilmente da atleta ad atleta.
Che si cerchi un allenamento per aumentare la resistenza, perdere peso,
raggiungere la testa del gruppo durante la corsa settimanale, o prepararsi per una
gara, SuperMagnetoTM Pro CycleOps offre una vasta gamma di opzioni in grado di
soddisfare tutte queste esigenze e molto di più. Le quattro impostazioni offrono
quattro diverse curve di potenza, ognuna delle quali calcola la potenza necessaria a
mantenere la velocità corrispondente. Le quattro curve progressive di
SuperMagnetoTM Pro CycleOps iniziano a una potenza ridotta e incrementano
rapidamente la resistenza all’aumentare della velocità. È possibile modificare la
resistenza del rullo per raggiungere il propri obiettivi e livello di fitness personali.
Man mano che la forma fisica migliora e gli obiettivi cambiano, SuperMagnetoTM
Pro CycleOps progredisce insieme all’atleta.
Trainingsintensiteit en -duur variëren heel erg van atleet tot atleet. Of u nu aan het
trainen bent om uw uithoudingsvermogen te verhogen, gewicht te verliezen,
vooraan te rijden tijdens uw wekelijkse groepsrit of op te warmen voor koersen,
de CycleOps SuperMagnetoTM Pro biedt voldoende variatie om te beantwoorden aan
al deze trainingsbehoeften, en nog veel meer. De vier instellingen bieden vier heel
verschillende krachtlijnen. Zij berekenen de kracht die u moet genereren om de
overeenkomstige snelheid te behouden. De vier progressieve lijnen van de CycleOps
SuperMagnetoTM Pro starten bij een lage kracht en klimmen snel naarmate uw
snelheid verhoogt. U kunt de weerstand van het trainingstoestel wijzigen voor uw
individuele doelstellingen en fitnessniveau. Naarmate u fitter wordt en uw
doelstellingen veranderen, groeit de CycleOps SuperMagnetoTM Pro geleidelijk
met u mee.
レーニグの強度継続時間は、て大な差があ
レーニグの目的が持久力を増すためなのか、体重を落すためか
毎週のループになるためかレース前のーム
なのかに関わCycleOps SuperMagnetoTM Pro なトレ ング
ズを満たます4 つの設定では、4 つの異なるパワー曲線を提供
それぞれにおい対応すスピーを維持すために使用す
ーが計算されていますCycleOps SuperMagnetoTM Pro 4 つの進歩曲線で
は、低いパーかダーのピードが増す急激にパーを
ーナーの負荷は、ライダー固有の目標ネスベル
に合わせ変更すでき身体ができ目標が変わ
ると、CycleOps SuperMagnetoTM Proもラーと長します。
3

Related product manuals