EasyManua.ls Logo

Daikin FWF04C - Page 61

Daikin FWF04C
143 pages
Print Icon
To Next Page IconTo Next Page
To Next Page IconTo Next Page
To Previous Page IconTo Previous Page
To Previous Page IconTo Previous Page
Loading...
57
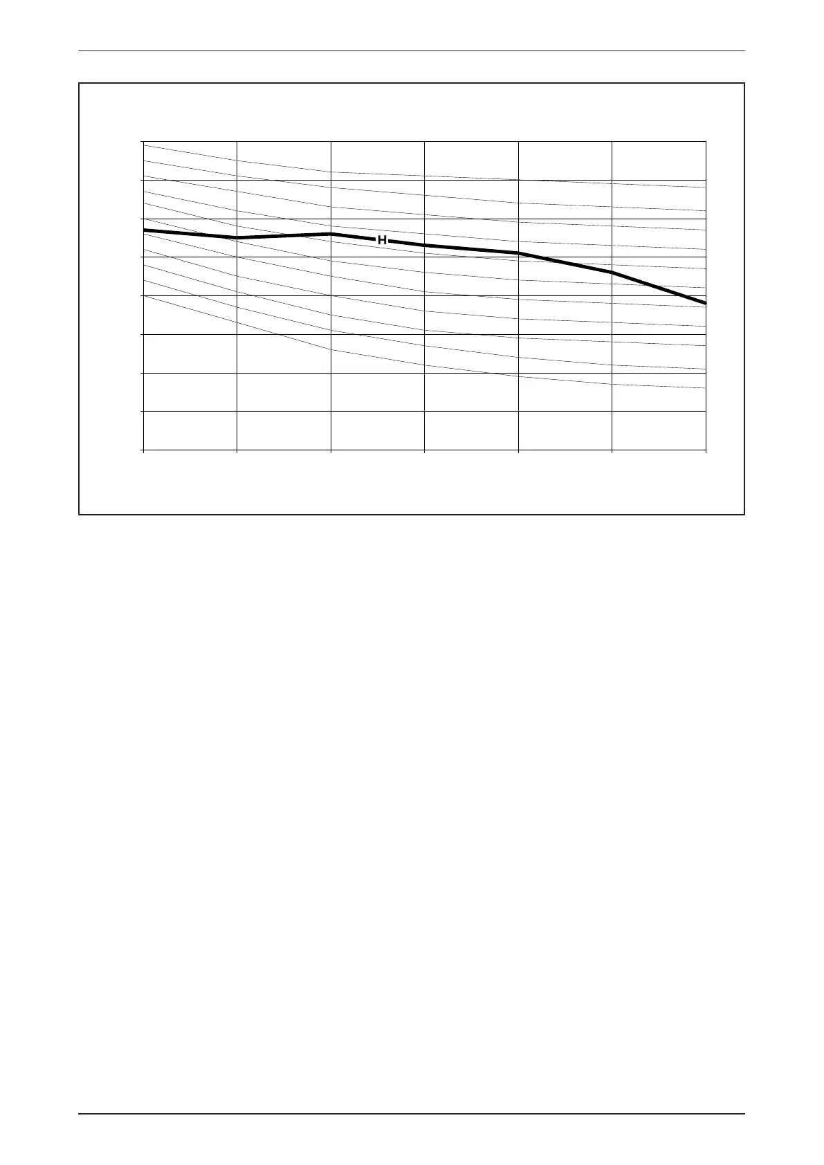
Sound Data
0
10
20
30
40
50
60
70
80
125 250 500 1000 2000 4000 8000
Sound pressure level (dB, ref 20µPa)
Octave-band frequency (Hz)
FUD40B
NC-20
NC-30
NC-25
NC-35
NC-40
NC-45
NC-50
NC-55
NC-65
NC-60
NC-70

Related product manuals