EasyManua.ls Logo

Daikin RXQ18PY1 - Page 342

Daikin RXQ18PY1
355 pages
Print Icon
To Next Page IconTo Next Page
To Next Page IconTo Next Page
To Previous Page IconTo Previous Page
To Previous Page IconTo Previous Page
Loading...
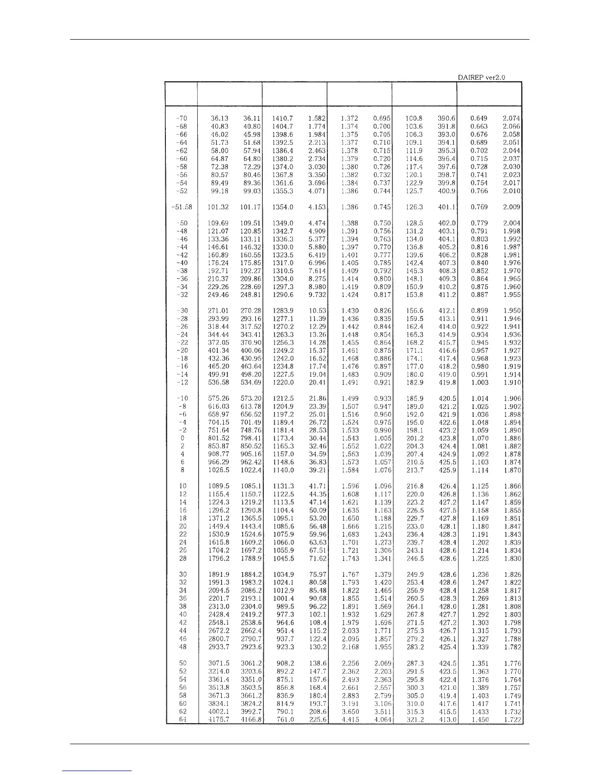
SiEN34-705 Precautions for New Refrigerant (R-410A)
Precautions for New Refrigerant (R-410A) 335
! Thermodynamic characteristic of R-410A
Temperature
(°C)
Steam pressure
(kPa)
Liquid Vapor
Density
(kg/m
3
)
Liquid Vapor
Specific heat at constant
pressure (kJ/kgK)
Liquid Vapor
Specific enthalpy
(kJ/kg)
Liquid Vapor
Specific entropy
(kJ/KgK)
Liquid Vapor

Table of Contents

Related product manuals