EasyManua.ls Logo

Daitsu DS-18KIDB - Page 46

Daitsu DS-18KIDB
95 pages
Print Icon
To Next Page IconTo Next Page
To Next Page IconTo Next Page
To Previous Page IconTo Previous Page
To Previous Page IconTo Previous Page
Loading...
50
Installation and Maintenance
Service Manual
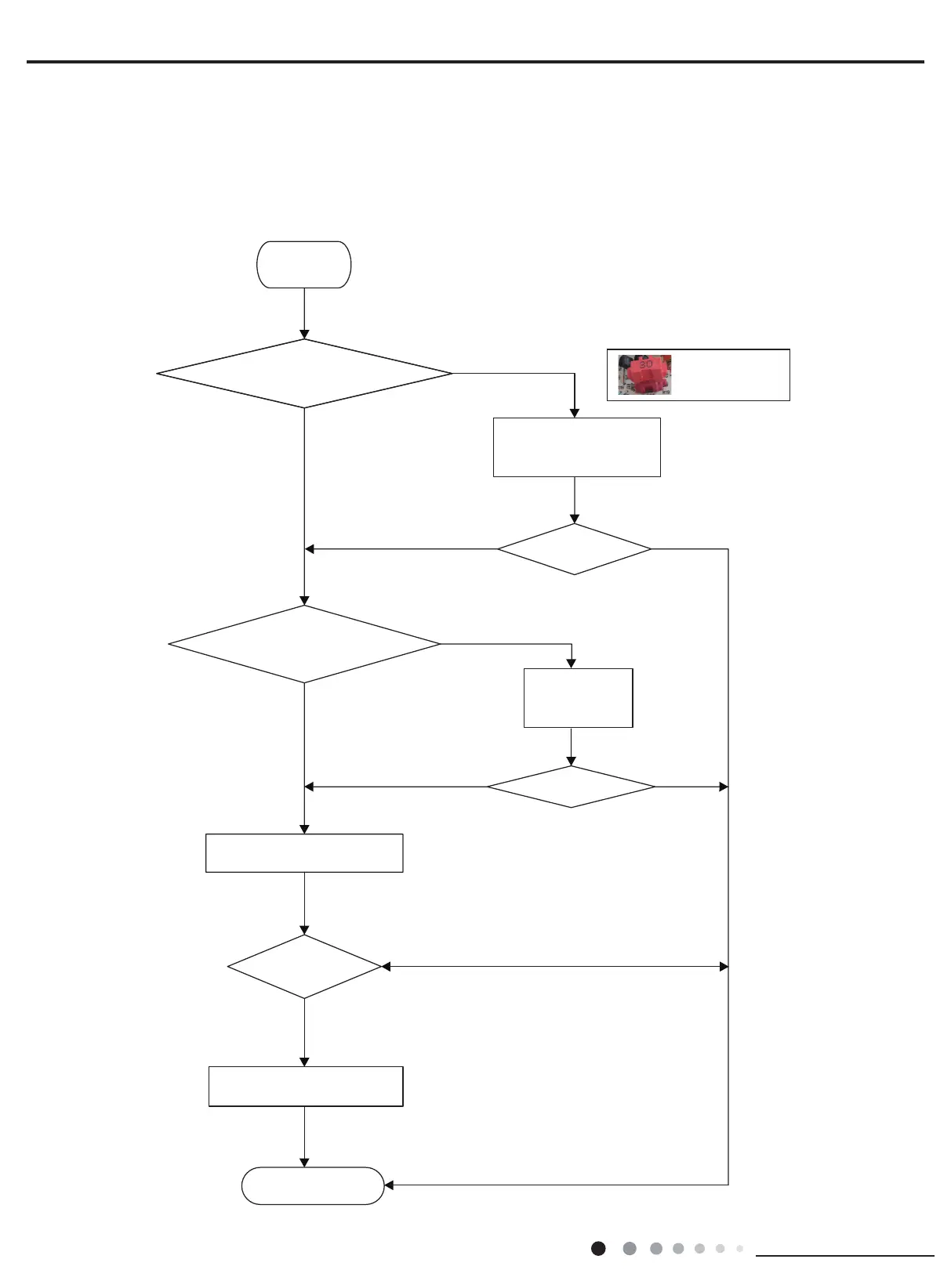
(3) Malfunction of Protection of Jumper Cap C5
Main detection points:
Is there jumper cap on the mainboard?
Is the jumper cap inserted correctly and tightly?
The jumper is broken?
The motor is broken?
Detection circuit of the mainboard is dened abnormal?
Malfunction diagnosis process:
Start
Is there jumper cap on the mainboard?
Is the jumper cap inserted correctly
and tightly?
Replace the jumper cap with
the same model
Appearance of the
jumper cap
Assemble the jumper
cap with the same model
Insert the jumper
cap tightly
Is malfunction
eliminated
Is malfunction
eliminated
Is malfunction
eliminated
Replace the mainboard
with the same model
End
Yes
Yes
Yes
Yes
Yes
No
No
No
No
No

Related product manuals