EasyManua.ls Logo

Danfoss VLT 5027 - Page 80

Danfoss VLT 5027
143 pages
Print Icon
To Next Page IconTo Next Page
To Next Page IconTo Next Page
To Previous Page IconTo Previous Page
To Previous Page IconTo Previous Page
Loading...
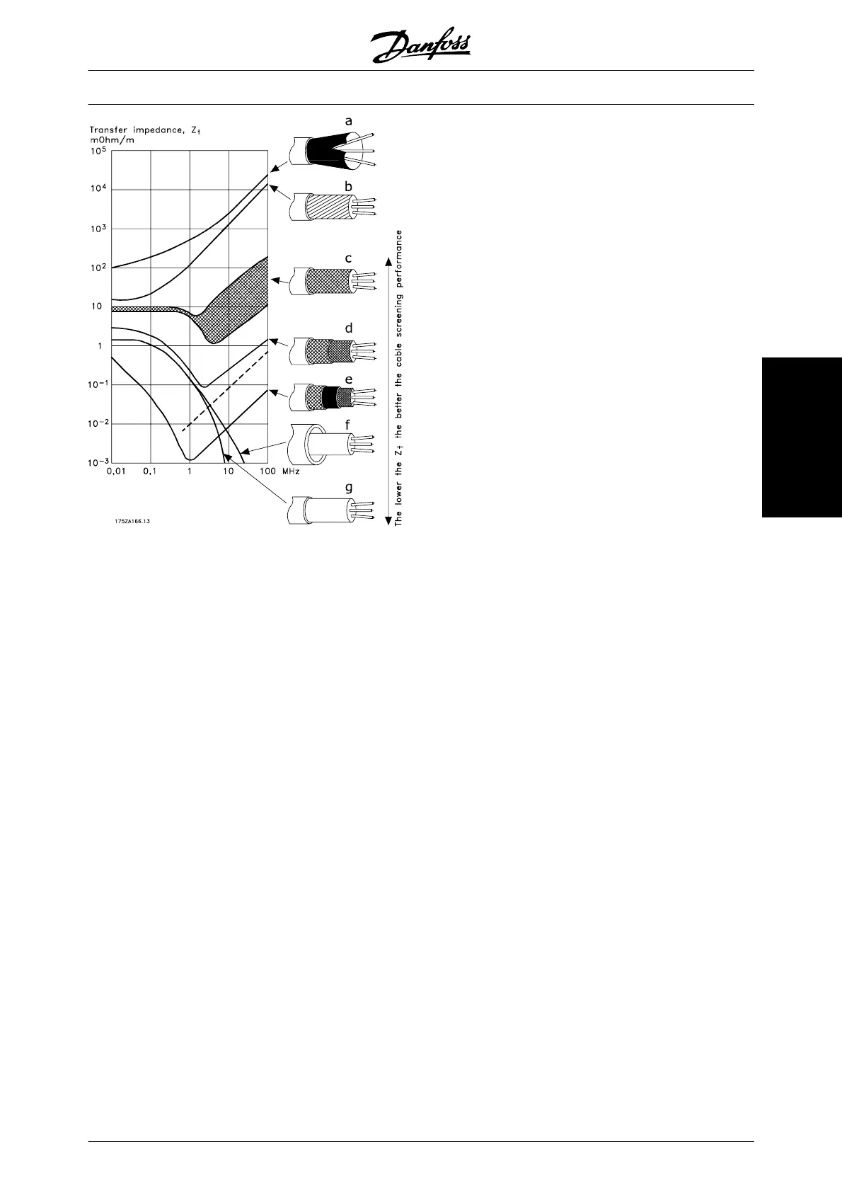
Transfer impedance (Z
T
) is rarely stated by cable man-
ufacturers, but it is often possible to estimate transfer
impedance (Z
T
) by assessing the physical design of
the cable.
Transfer impedance (Z
T
) can be assessed on the basis
of the following factors:
-
The conductibility of the screen material.
-
The contact resistance between the individ-
ual screen conductors.
-
The screen coverage, i.e. the physical area
of the cable covered by the screen - often
stated as a percentage value.
-
Screen type, i.e. braided or twisted pattern.
Aluminium-clad with copper wire.
Twisted copper wire or armoured steel wire cable.
Single-layer braided copper wire with varying percentage
screen coverage.
This is the typical Danfoss reference cable.
Double-layer braided copper wire.
Twin layer of braided copper wire with a magnetic, screened/
armoured intermediate layer.
Cable that runs in copper tube or steel tube.
Lead cable with 1.1 mm wall thickness.
VLT
®
5000 Design Guide
MG.52.B2.02 - VLT
®
is a registered Danfoss trademark 79
Electrical installation

Table of Contents

Other manuals for Danfoss VLT 5027

Related product manuals