EasyManua.ls Logo

decon JWB2 - Page 25

Default Icon
32 pages
Print Icon
To Next Page IconTo Next Page
To Next Page IconTo Next Page
To Previous Page IconTo Previous Page
To Previous Page IconTo Previous Page
Loading...
25
3
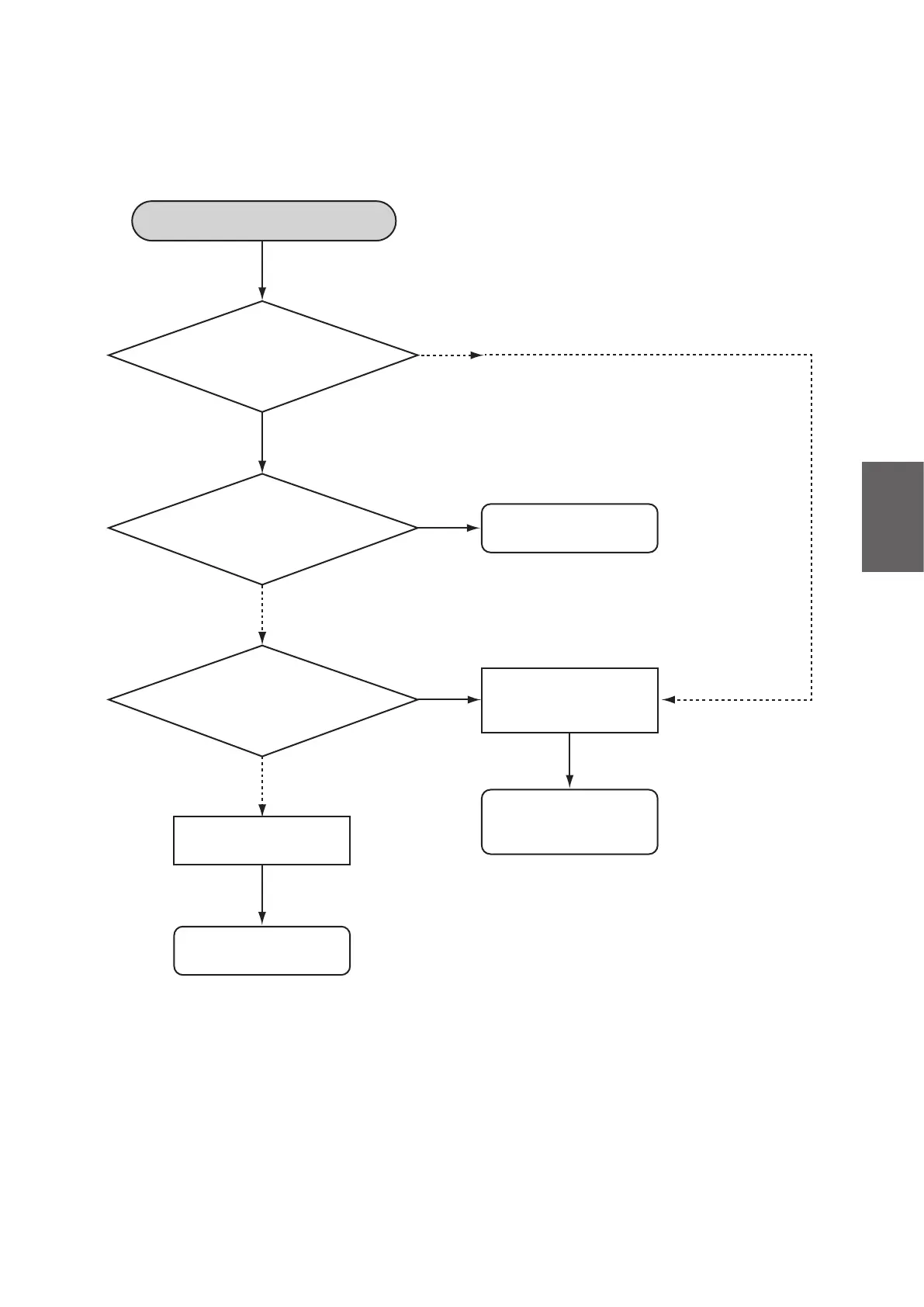
Start diagnosis
Battery itself can indicate
its capacity
Contact points are
deformed or have foreign
matter on them
Clean or repair
Charger is able to
charge a normal battery
Charger failure
Replace charger
Battery management
system failure inside
the battery
Proceed to the trouble-
shooting of the battery
management system
Yes
No
Yes
Yes
No
No
(4) Diagnosing Charger Communication Malfunction
If the charger is unable to charge due to a communication malfunction, perform a diagnosis by
referringtotheowchartbelow.