EasyManua.ls Logo

Delta OHM DO 9721 - Illuminancia Probe LP 9021 PHOT Specifications; Luminance Probe LP 9021 LUM6 Specifications

Delta OHM DO 9721
80 pages
Print Icon
To Next Page IconTo Next Page
To Next Page IconTo Next Page
To Previous Page IconTo Previous Page
To Previous Page IconTo Previous Page
Loading...
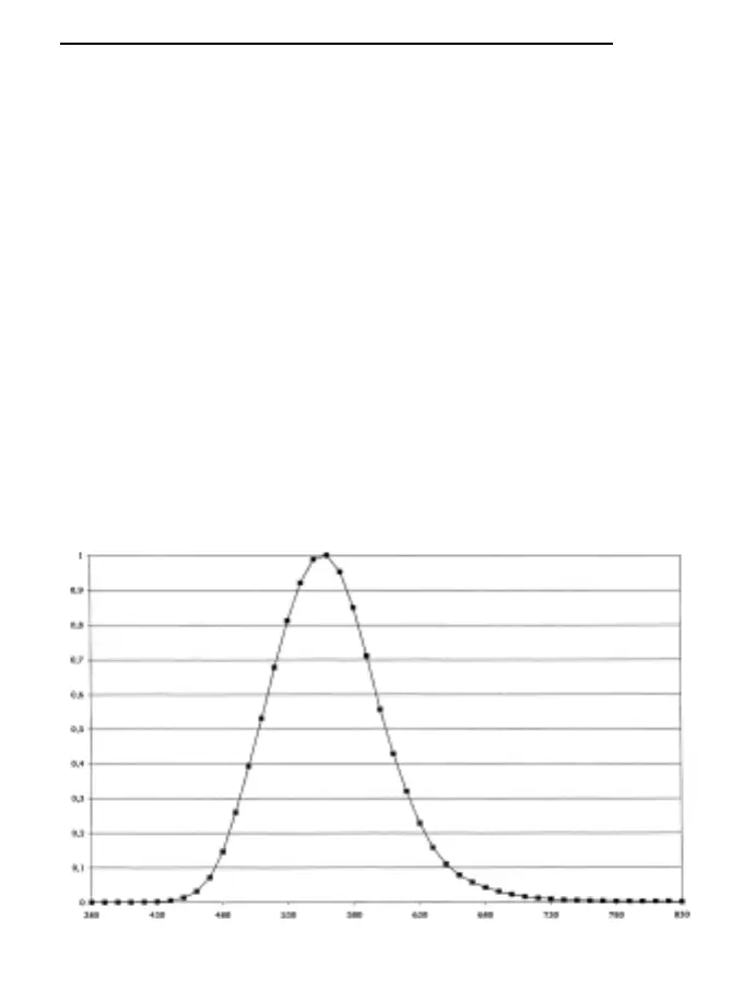
Spectral response relative
Lamda (nm)
ILLUMINANCIA probe LP 9021 PHOT
Range: 0÷200,000 lux
Spectral response: corrected for Photopic Vision V(λ)
Calibration incertitude: <4%
f
1
’ (spectral matches with V(λ)curve): <8%
f
2
(mean cosine error): <3%
f
3
(error by non-linearity): <1%
f
4
(error by display unit): <0.5%
f
5
(fatigue): <0.1%
α (temperature coefficient) f
6
(T): <0.05%/K
Operating temperature range: 0÷50°C
LUMINANCE probe LP 9021 LUM6
Range: 0÷2,000 10
3
cd/m
2
Angular field:
Spectral response: corrected for Photopic Vision V(λ)
Calibration incertitude: <5%
f
1
’ (spectral matches with V(λ)curve): <8%
f
3
(error by non-linearity): <1%
f
4
(error by display unit): <0.5%
f
5
(fatigue): <0.1%
α (temperature coefficient) f
6
(T): <0.05%/K
Operating temperature range: 0÷50°C
113
ENGLISH

Related product manuals