EasyManua.ls Logo

Delta OHM DO 9721 - Irradiance Probe LP 9021 UVC Specifications

Delta OHM DO 9721
80 pages
Print Icon
To Next Page IconTo Next Page
To Next Page IconTo Next Page
To Previous Page IconTo Previous Page
To Previous Page IconTo Previous Page
Loading...
ENGLISH
118
IRRADIANCE probe LP 9021 UVC
Range: 10 mW/m
2
÷2,000 W/m
2
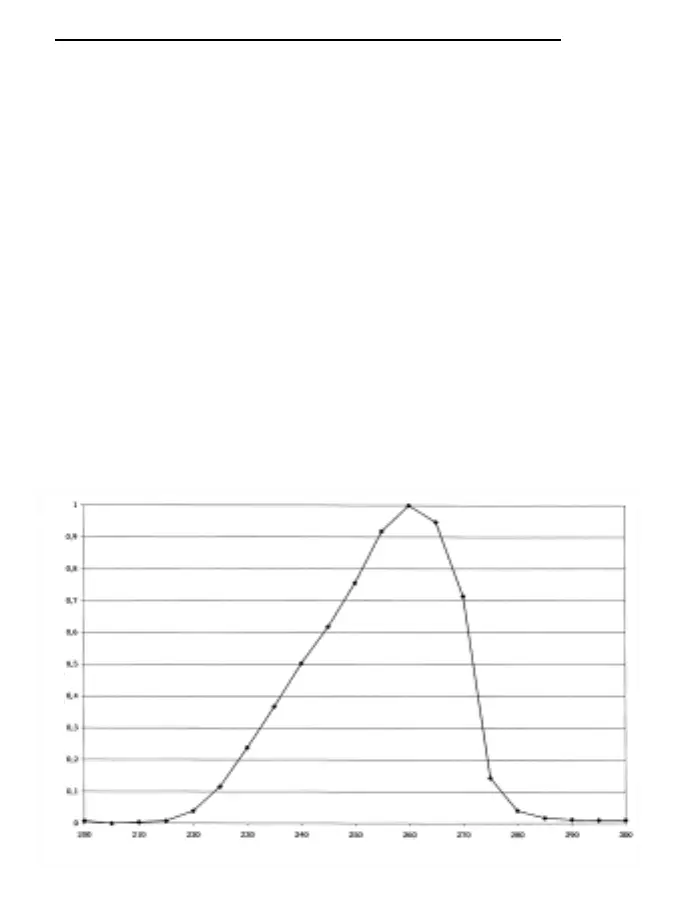
Spectral response: 200÷280 nm (Peak 260 nm)
Calibration incertitude: <5%
Mean cosine error: <6%
Non-linearity: <1%
Error by display unit: ±1 digit
Fatigue: <0.1%
α (temperature coefficient) f
6
(T): <0.05%/K
Operating temperature range: 0÷50°C
Spectral response relative
Lamda (nm)

Related product manuals