EasyManua.ls Logo

Derby cycle Rixe - Assistance by the Electric Motor; Operating Principle of Assistance; Distance

Derby cycle Rixe
Print Icon
To Next Page IconTo Next Page
To Next Page IconTo Next Page
To Previous Page IconTo Previous Page
To Previous Page IconTo Previous Page
Loading...
VI User Manual Groove Pedelec 13
6 Assistance by the electric motor
6.1 Operating principle of assistance
If you switch on the assistance and start pedalling, the
motor starts up once the cranks have completed roughly
two complete revolutions.
The amount of propulsion provided by the motor depends
on which level of assistance you have selected.
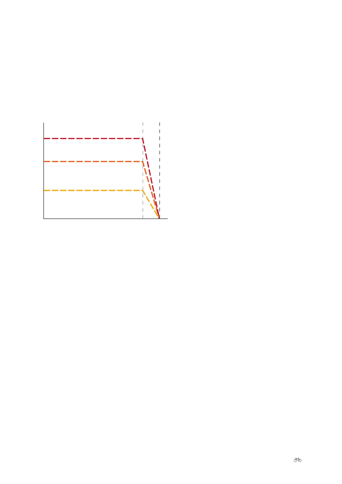
Speed (km/h) 25
Motor output
(watts)
250
150
70
The motor can operate with three dierent power output
levels.
The motor delivers a continuous output of 70 watts
at the lowest level ECO, 150 watts at the medium
level SPORT, and 250 watts at the highest level
POWER.
When the switch is in the POWER position, the
motor assists you with the highest output and
therefore also uses the most energy. If you select
the SPORT assist level, the motor output is slightly
lower. If you select ECO, you will receive the lowest
level of assistance but will be able to use the maxi-
mum range of the battery.
The motor provides assistance until the Pedelec
reaches a speed of 25 km/h. It then switches o.
6.2 Distance
The distance you can travel using the power assist with
the battery lly charged depends on several factors:
Ambient temperature
If it is colder, you will travel a shorter distance
with the same battery charge.
To maximise the distance you can travel, keep the
battery in a heated room so that it is at room tem-
perature when you t it on your Pedelec.
As the battery discharges when the motor is in use,
it generates enough heat to not lose too much of its
power at low ambient temperatures.
Level of assistance selected
If you wish to ride a long distance assisted by the
motor, select a low level of assistance (ECO).
Riding approach
You can ride assisted almost entirely by the motor
by turning the pedals very gently. However, this
uses more battery power. You can save power by
putting in more eort when turning the pedals.
Technical condition of your Pedelec
Make sure that the tyre pressure is correct. If you
ride your bike with too little air in the tyres, this
can signicantly increase the rolling resistance.
This applies to smooth surfaces in particular, e. g.
tarmac. If the ground is uneven, as on a country
path or gravel track, rather low tyre pressure can
lead to less rolling resistance. This also increases
the risk of a puncture. Please consult your special-
ist dealer about this.
The distance you can travel also decreases if the
brakes are rubbing.
Topography
The motor uses more power when riding in hilly
rather than at terrain.

Table of Contents

Related product manuals