EasyManua.ls Logo

Dobinsons MRR - Adjustment Procedures

Dobinsons MRR
8 pages
Print Icon
To Next Page IconTo Next Page
To Next Page IconTo Next Page
To Previous Page IconTo Previous Page
To Previous Page IconTo Previous Page
Loading...
Page 2 of 8
Adjustment
AdjustmentAdjustment
Adjustment
Important: When adjusting the dials do not over toque the dials. Each dial should
be able to be moved by hand or with the small adjustment tool provided. Do not
over-torque the dials at the end of the dial travel as this may cause permanent
damage to the components.
Compression
Compression Compression
Compression
The compression adjusters operate by allowing a low speed bleed path combined with a high
speed digressive shim stack to allow adjustments in both the low speed shaft movements and
high speed shaft movements (note - this is not vehicle speed). It is important to note that due to
the nature of the low speed bleed path bypassing the high speed compression stack that each
adjuster does have a small effect on the other i.e. the low speed will have a small effect on the
high speed and vice versa. Also, the higher the adjuster is set to, the more affect the opposing
adjuster will have with each click.
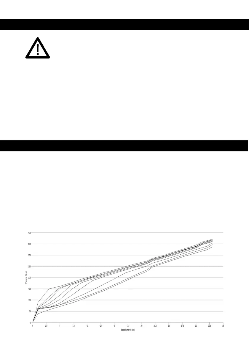
Low Speed Compression
Low Speed CompressionLow Speed Compression
Low Speed Compression
(
((
(LSC
LSCLSC
LSC)
))
)
The low speed adjustment is increased by turning the smaller adjustment dial on the reservoir
clockwise and is decreased by turning it anti-clockwise and has approximately 20 clicks. Low
speed compression primarily affects the compression damping during low speed shaft
movements such as vehicle pitch, dive and roll, wheel traction and vehicle ride (harshness and
plushness). Lower settings will provide a smoother more compliant ride but will sacrifice
stability whilst higher settings will result in a firmer less compliant ride but provide better body
control & stability. If unsure, choose a setting that you feel provides good vehicle body control
and stability without excessiveness harshness. If you are unable to achieve a firm enough
setting you can increase the high speed adjustment to suit and if you are unable to achieve a
soft enough setting then you may reduce the high speed adjustment. See the graphs below for a
sweep of the low speed compression adjustments – NOTE: Every 2nd click has been omitted for
clarity. High speed compression set at midpoint.