EasyManua.ls Logo

Dolby Laboratories 737 - Page 28

Dolby Laboratories 737
35 pages
Print Icon
To Next Page IconTo Next Page
To Next Page IconTo Next Page
To Previous Page IconTo Previous Page
To Previous Page IconTo Previous Page
Loading...
Model 737 Soundtrack Loudness Meter - Leq(m) Background
A-2
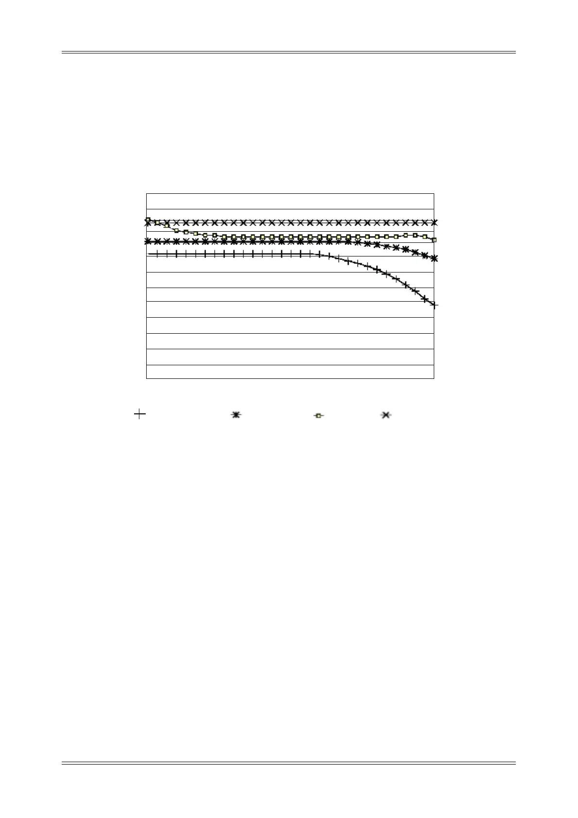
This system worked quite well for many years. Dolby Stereo (A-type encoded) films
had limited headroom and the resulting constrained dynamic range yielded few audience
complaints. Most theatres played films at the calibrated level. Soundtrack format tech-
nology has been significantly enhanced since Dolby Stereo. Dolby SR extended the
headroom by 3 dB at midrange frequencies, and more at low and high frequencies. In
recent years, the new digital formats have further increased the headroom (Figure A-1).
Figure A-1 Peak levels of photographic soundtrack formats.
Because the 85 dBc calibration technique has been maintained throughout these format
changes, additional headroom is available on the newer soundtracks. Feature films have
one consistent, subjective mix reference for dialogue record level, known as associative
loudness. When the dubbing mixer sees an actor on the screen, and there is no fight
with music or effects, the dialogue level in a moderate close-up is set to be plausible for
the visual. Within reasonable limits, this holds true to within 2 or 3 dB. This natural
dialogue level does not hold true for narration, as there is no corresponding visual
reference. Music and effects have no direct visual associative loudness. Most people
are not familiar with the actual sound pressure levels of a Concorde take-off or a 50 mm
howitzer. The music score level is equally uncalibrated.
As the headroom capability of the recording medium has been extended, it has certainly
been used: the non-associative loudness of effects and music has risen to fill the
available space. The discretionary use of this increased headroom would be justified
and desirable on some feature films, such as ride and action movies.
dB
Hz
0
31.5 63 125 250 500 1k 2k 4k 8k 16k
40
90
20
60
110
10
50
100
30
80
70
120
Academy mono Dolby A-type Dolby SR Dolby Digital
MAIN

Table of Contents

Related product manuals