EasyManua.ls Logo

EasyPro TH Series - Service & Maintenance; Specifications; Pump Performance Chart

EasyPro TH Series
4 pages
Print Icon
To Next Page IconTo Next Page
To Next Page IconTo Next Page
To Previous Page IconTo Previous Page
To Previous Page IconTo Previous Page
Loading...
10. When storing the pump for an extended period of time, wash it and store indoors in a bucket of
water.
11. Always use a check valve on the pumps.
12. Do not attempt to disassemble pump during the warranty period. If there are any questions
please contact you local dealer.
Service & Maintenance
1. Disconnect all power supplies before service.
2. The pump should be removed from the pond on a regular basis, cleaned and checked over for
damage to prolong the life of the pump.
3. Clean the impeller and intake screen when the ow is visibly reduced.
4. Clean the pump and impeller with clean fresh water.
5. Check inside the impeller housing for large debris or algae, which could reduce the ow.
6. Clean the impeller housing with a damp cloth. Clean the outside of the impeller with a damp
cloth and clean water.
7. Check and tighten nuts and bolts if required.
Specications
Model HP Volts Amps Weight
TH150 1/4 115 2.9 15 lbs.
TH1502 1/4 230 1.5 15 lbs.
TH250 1/3 115 4.0 15 lbs.
TH2502 1/3 230 2.0 15 lbs.
TH400 1/2 115 5.6 20 lbs.
TH4002 1/2 230 2.8 20 lbs.
TH750 1 115 9.5 27 lbs.
TH7502 1 230 4.8 27 lbs.
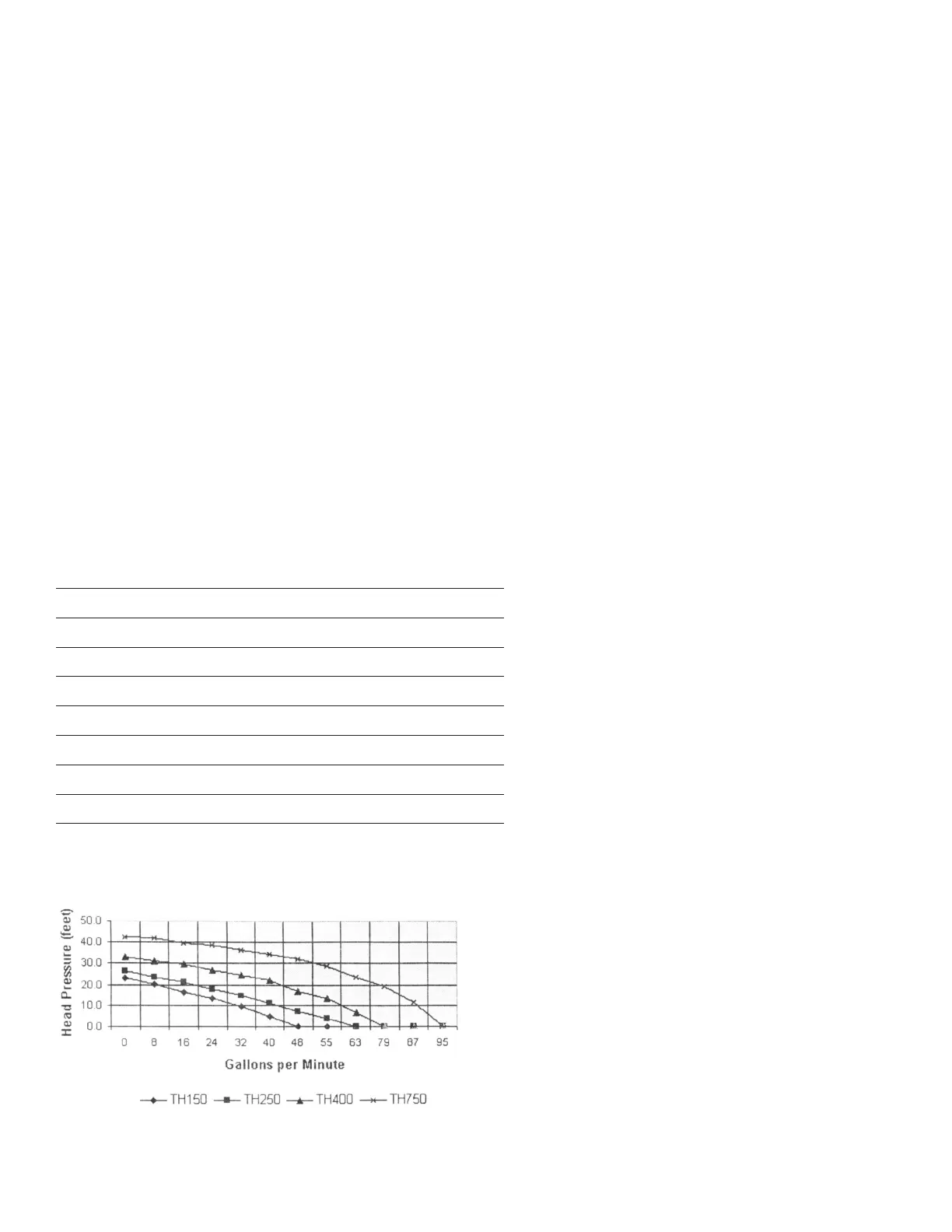
Pump Performance Chart

Other manuals for EasyPro TH Series

Related product manuals