EasyManua.ls Logo

Electrolux EHL7640FOK - Page 12

Electrolux EHL7640FOK
68 pages
Print Icon
To Next Page IconTo Next Page
To Next Page IconTo Next Page
To Previous Page IconTo Previous Page
To Previous Page IconTo Previous Page
Loading...
Operating the function automatically
To operate the function automatically set
the automatic mode to H1 – H6. The hob
is originally set to H5. The hood reacts
whenever you operate the hob. The hob
recognizes temperature of the cookware
automatically and adjusts the speed of
the fan.
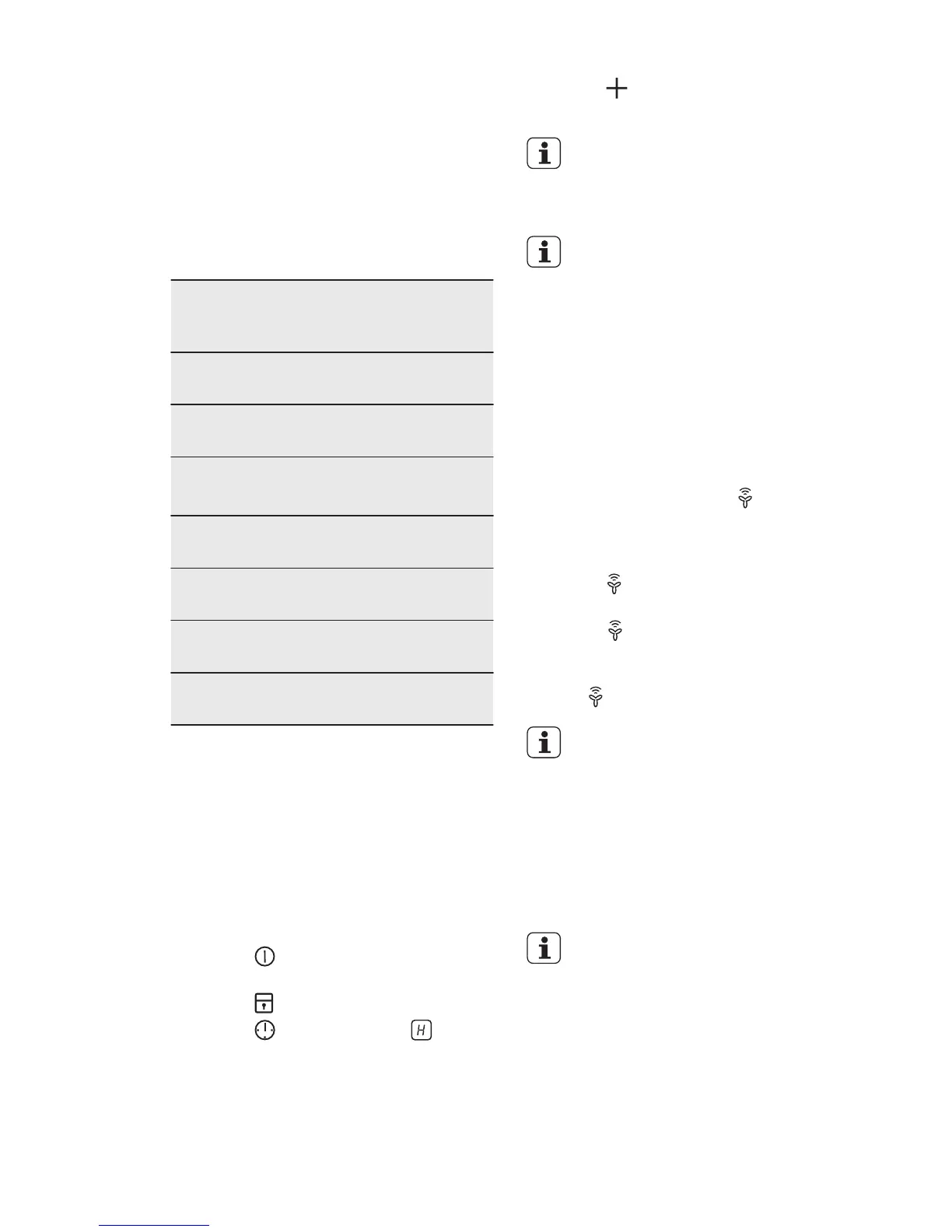
Automatic modes
Auto‐
matic
light
Boil‐
ing
1)
Frying
2)
Mode
H0
Off Off Off
Mode
H1
On Off Off
Mode
H2
3)
On Fan
speed 1
Fan
speed 1
Mode
H3
On Off Fan
speed 1
Mode
H4
On Fan
speed 1
Fan
speed 1
Mode
H5
On Fan
speed 1
Fan
speed 2
Mode
H6
On Fan
speed 2
Fan
speed 3
1)
The hob detects the boiling process and
activates fan speed in accordance with au‐
tomatic mode.
2)
The hob detects the frying process and
activates fan speed in accordance with au‐
tomatic mode.
3)
This mode activates the fan and the light
and does not rely on the temperature.
Changing the automatic mode
1. Deactivate the appliance.
2. Touch
for 3 seconds. The display
comes on and goes off
3. Touch for 3 seconds.
4. Touch a few times until comes
on.
5. Touch of the Timer to select an
automatic mode.
To operate the hood directly
on the hood panel deactivate
the automatic mode of the
function.
When you finish cooking and
deactivate the hob, the hood
fan may still operate for a
certain period of time. After
that time the system
deactivates the fan
automatically and prevents
you from accidental
activation of the fan for the
next 30 seconds.
Operating the fan speed manually
You can also operate the function
manually. To do that touch when the
hob is active. This deactivates automatic
operation of the function and allows you
to change the fan speed manually. When
you press you raise the fan speed by
one. When you reach an intensive level
and press
again you will set fan
speed to 0 which deactivates the hood
fan. To start the fan again with fan speed
1 touch .
To activate automatic
operation of the function,
deactivate the hob and
activate it again.
Activating the light
You can set the hob to activate the light
automatically whenever you activate the
hob. To do so set the automatic mode to
H1 – H6.
The light on the hood
deactivates 2 minutes after
deactivating the hob.
www.electrolux.com12