EasyManua.ls Logo

Embraer EMB145 - Page 160

Embraer EMB145
2662 pages
Print Icon
To Next Page IconTo Next Page
To Next Page IconTo Next Page
To Previous Page IconTo Previous Page
To Previous Page IconTo Previous Page
Loading...
AIRPLANE
OPERATIONS
MANUAL
LIMITATIONS
REVISION 29
1-01-56
Page
1
Code
07
NAVIGATION EQUIPMENT
RADAR
Do not operate weather radar during refueling, near fuel spills or
people.
ATTITUDE AND HEADING REFERENCE SYSTEM
Airplane must not be moved until all attitude and heading information
presented on PFD is valid.
For the AH-900 AHRS version the following limits are applicable:
Maximum latitude for alignment .....78°15’ Northern and Southern
AHRS alignment will complete only after a valid airplane present
position (latitude and longitude) is received from the FMS.
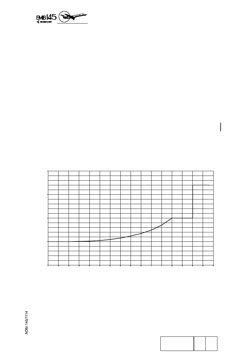
Time to Alignment:
0
5
10
15
20
0 5 10 15 20 25 30 35 40 45 50 55 60 65 70 75 80
ALIGNMENT TIME - minutes.....
ALIGNMENT LATITUDE - degrees Northern and Southern

Other manuals for Embraer EMB145

Related product manuals