EasyManua.ls Logo

EPIC CART E40L - Page 17

EPIC CART E40L
32 pages
Print Icon
To Next Page IconTo Next Page
To Next Page IconTo Next Page
To Previous Page IconTo Previous Page
To Previous Page IconTo Previous Page
Loading...
OPERATION INFORMATION
Owner’s Manual
15
NOTE
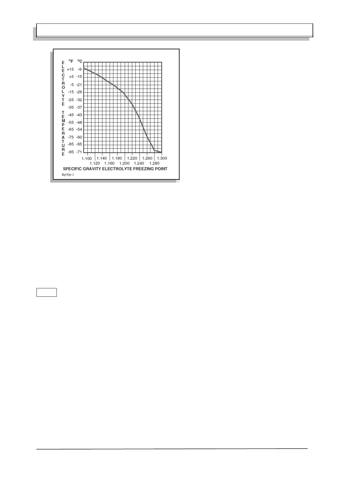
Fig. 6
The charging must take place in an area that is well ventilated and capable of removing the hydrogen gas
that is generated by the charging process. A minimum of five air exchanges per hour is recommended
The charging connector components are in good condition and free from dirt or debris.
The charger connector is fully inserted into the vehicle receptacle.
The charger connector/cord set is protected from damage and is located in an area to prevent injury that may
result from personnel running over or tripping over the cord set.
The charger is automatically turned off during the connect/disconnect cycle and therefore no electrical arc is
generated at the DC plug/receptacle contacts.
In our chargers, there is a jiggle switch inside charger receptacle. The switch is part of the interlock
system that prevents the vehicle from being driven when the charger plug is inserted in the vehicle charging
receptacle. (Fig 7)
Fig. 7