EasyManua.ls Logo

Formula 1 BC240 - Bezpečnostní Funkce; Fáze Nabíjení; Nabíječky; Technická Data

Formula 1 BC240
Print Icon
To Next Page IconTo Next Page
To Next Page IconTo Next Page
To Previous Page IconTo Previous Page
To Previous Page IconTo Previous Page
Loading...
f1.mts-gruppe.com44
CS
Krok 5: Hlavní nabíjení s kon-
stantním naptím
Baterie se nabíjí konstantním nabíjecím
napětím tak dlouho až neprotéká žádný
nabíjecí proud.
Krok 6: Kontrola
Po úplném nabití baterie nabíjení končí.
Krok 7: Udržovací nabíjení
Nabíječka kontroluje kapacitu baterie.
Jakmile klesne napětí baterie pod 12,8 V
reaguje nabíječka nabíjecím impulsem.
Tím se baterie držuje na nejvýše možné
hladině nabití.
Bezpenost
funkce
Aby ste se vyhli poškození nabíječky a
baterie, nabíječka si vypne svůj elekt-
ronický systém a ihned se zresetuje do
základního nastavení v případě
skratu
nesprávného zapojení
otevřeného obvodu
opačně zapojené polarity
napětí baterie pod 3,0 V ±0,5 V
Nabíječka zůstane v režimu Standby a
na displeji je signalizována porucha.
Počas procesu nabíjení, v případě že
se nabíječka příliš zahřívá kvůli vysoké
okolní teplotě, výstupní výkon se
automaticky sníží. Nabíječka pokračuje v
udržovacím režimu a automaticky začne
přidávat výkon když klesne teplota.
Ukonení nabíjení a odpojení
nabíjeky
1. Vytáhněte nejdříve zástrčku
nabíječky ze zásuvky s napětím
230 V.
2. Odpojte černou svorku (-) od
záporného pólu (-) baterie nebo od
karosérie vozidla.
3. Odpojte červenou svorku (+) od
kladného pólu (+) baterie.
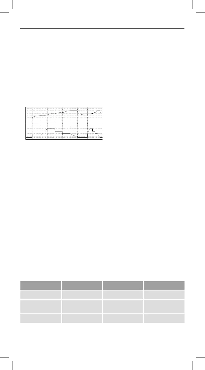
Fáze naje
6
2
V
A
345 71
Princip nabíjení je vysvětlený na
příkladu nabíjení 12 V baterie.
Krok 1: Kontrola stavu
Nabíječka kontroluje stav baterie a
vypočítá otřebné parametry nabíjení.
Krok 2: Pednabití
Baterie se nabíjí nejdříve nízkým
nabíjecím proudem, aby se dostala do
stavu, ve kterém se může plně nabít.
Krok 3: Plynulý pomalý start
Baterie se šetrně nabíjí nízkým
nabíjecím proudem.
Krok 4: Hlavní nabíjení s kon-
stantním proudem
Baterie se s konstantním nabíjecím
proudem nabíjí rychle a bezpečně.
Technická data
Model BC240 BC260 BC280
Číslo artiklu 10793 10794 10795
Vstup 220-240 V AC
50-60 Hz
220-240 V AC
50-60 Hz
220-240 V AC
50-60 Hz
Vstupní proud max. 0,45 A max. 0,65 A max. 0,85 A

Table of Contents