EasyManua.ls Logo

Fostex DMT-8 - Page 76

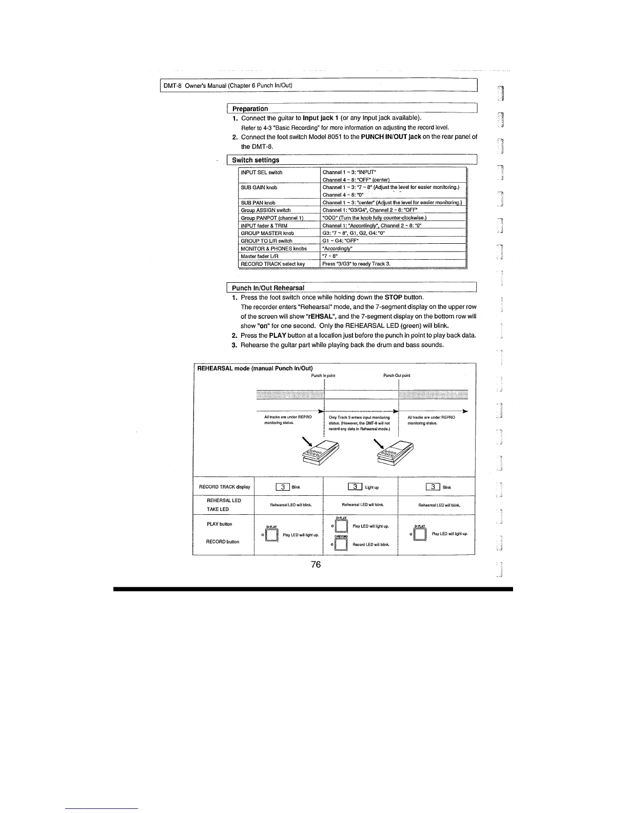
Fostex DMT-8
122 pages
Print Icon
To Next Page IconTo Next Page
To Next Page IconTo Next Page
To Previous Page IconTo Previous Page
To Previous Page IconTo Previous Page
Loading...

Table of Contents

Other manuals for Fostex DMT-8

Related product manuals