EasyManua.ls Logo

GE 2-9710 - Telephone Service; Sewice Checklist; Telephone

GE 2-9710
26 pages
Print Icon
To Next Page IconTo Next Page
To Next Page IconTo Next Page
To Previous Page IconTo Previous Page
To Previous Page IconTo Previous Page
Loading...
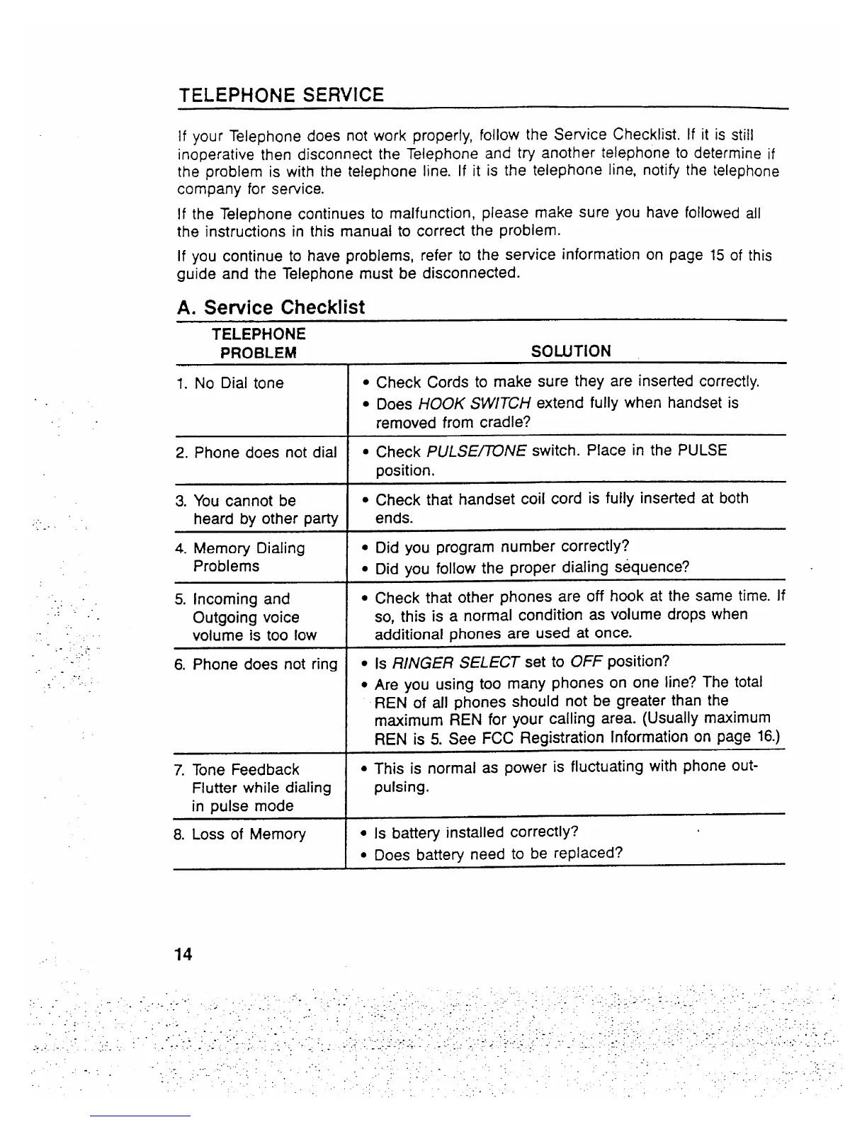
TELEPHONE SERVICE
....
. .. .
.
...”
-.
..
. .
. .
..
;-
..:,
.. .
..,.
. .
:..
If your Telephone does not work properly, follow the Sewice Checklist. If it is still
inoperative then disconnect the Telephone and t~ another telephone to determine if
the problem is with the telephone line. If it is the telephofle line, notify the telephone
company for semice.
If the Telephone continues to malfunction, please make sure
YOU have followed
the instructions in this manual to correct the problem.
If you continue to have problems, refer to the service information on page 15 of
guide and the Telephone must be disconnected.
A. Sewice Checklist
all
this
TELEPHONE
PROBLEM
SOWTION
1. No Dial tone
2. Phone does not dial
3. You cannot be
heard by other party
4. Memory Dialing
Problems
5. Incoming and
Outgoing voice
volume is too low
6. Phone does not ring
7. Tone Feedback
Flutter while dialing
in pulse mode
8. Loss of Memory
. Check Cords to make sure they are inserted correctly,
Does HOOK SWITCH extend fully when handset is
removed from cradle?
Check PULSE~NE switch. Place in the PULSE
position.
Check that handset coil cord is fully inseded at both
ends.
Did you program number correctly?
c Did you follow the proper dialing sequence?
Check that other phones are off hmk at the same time. If
so, this is a normal condition as volume drops when
additional phones are used at once.
. Is RINGER SELECT set to OFF position?
Are you using too many phones on one line? The total
REN of all phones should not be greater than the
maximum REN for your calling area. (Usually maximum
REN is 5. See FCC Registration Information on page 16.)
This is normal as power is fluctuating with phone out-
pulsing.
. Is batte~ installed correctly?
Does battery need to be replaced?
14

Related product manuals