EasyManua.ls Logo

Gree GWC09NA-D3NNA3A/I

Gree GWC09NA-D3NNA3A/I
72 pages
To Next Page IconTo Next Page
To Next Page IconTo Next Page
To Previous Page IconTo Previous Page
To Previous Page IconTo Previous Page
Loading...

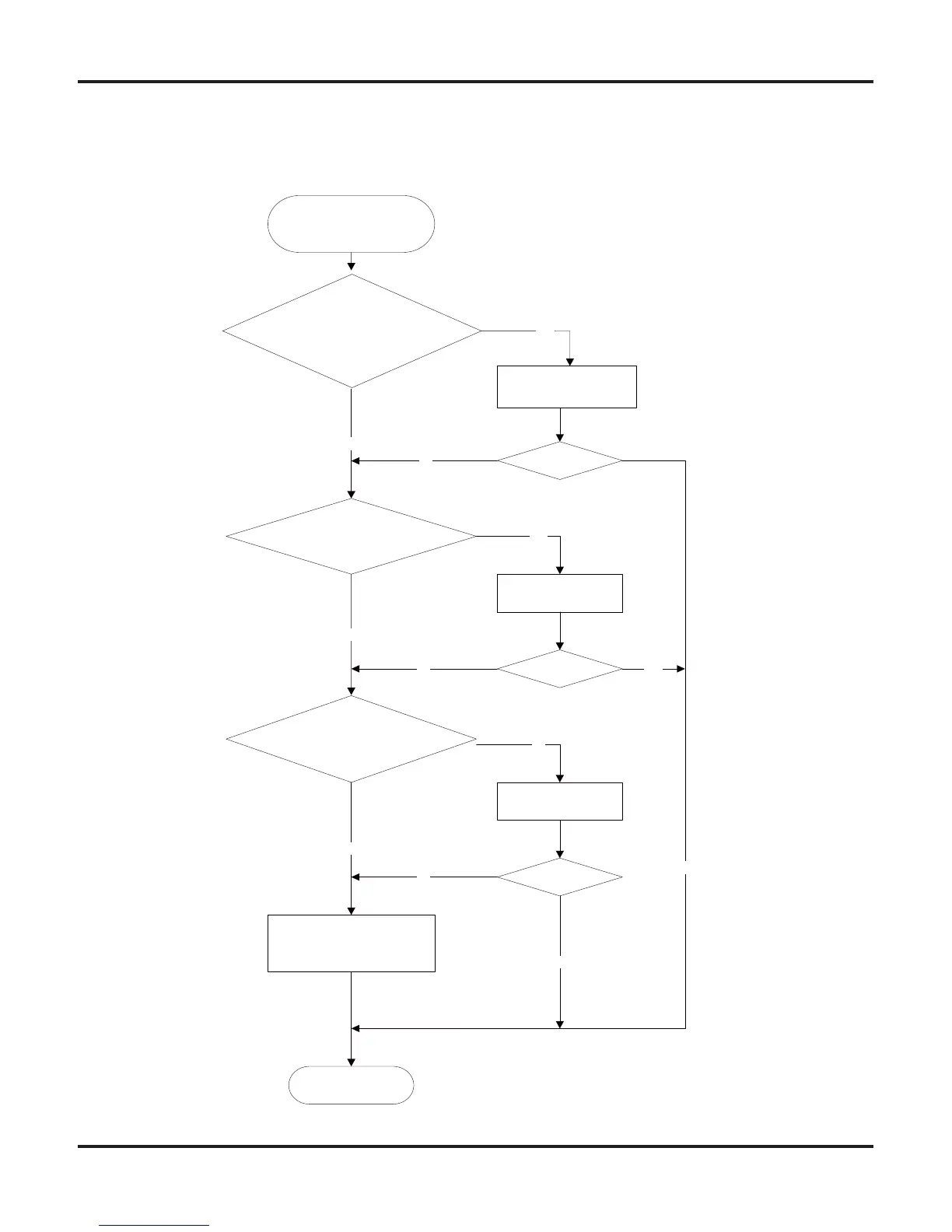
7URXEOHVKRRWLQJ
+RZWR&KHFN6LPSO\WKH0DLQ3DUW
Start
Insert the temperature
sensor tightly
Malfunction is
yes
eliminated.
Make the parts upright
yes
Malfunction is
eliminated.
Replace the controller with
one of the same model
End
no
no
no
no
yes
yes
Malfunction is
removed .
no
yes
yes
no
Is the wiring
terminal between temperature
sensor and the controller loosened or
poor ly contacted?
Is there short circuit due to tri-pover
of the par ts?
Is the temperature
sensor normal according to the
Resistance Table?
Replace it with a
temperature sensor
of the same model
9.3.1 F1/F2 Malfunction

Table of Contents

Related product manuals