EasyManua.ls Logo

Gree GWC30LB-D3DNA3G - Page 59

Gree GWC30LB-D3DNA3G
103 pages
To Next Page IconTo Next Page
To Next Page IconTo Next Page
To Previous Page IconTo Previous Page
To Previous Page IconTo Previous Page
Loading...
56
Installation and Maintenance
Service Manual
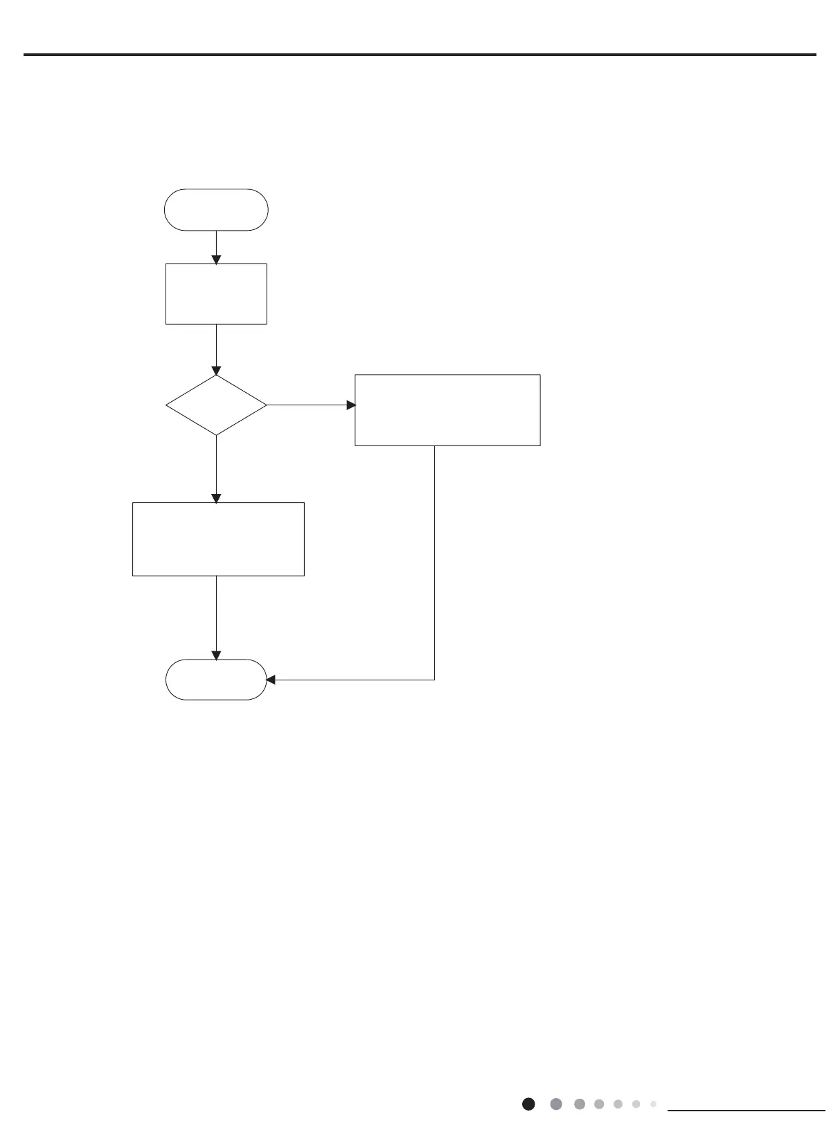
5. Malfunction of Zero-crossing Inspection Circuit Malfunction of the IDU Fan Motor U8
Main detection points:
● Instant energization afte de-energization while the capacitordischarges slowly?
● The zero-cross detectioncircuit of the mainboard is dened abnormal?
Malfunction diagnosis process:
Turn power off for
1minute,the turn
back on
The unit returns to normal.
Conclusion:U8 is displayed due to
power off/on while the
capacitor discharges slowly.
U8 is still
displayed
The zero-cross detection circuit
of the mainboard is dened
abnormal.Replace the mainboard
with the same model
Yes
No
Start
End

Other manuals for Gree GWC30LB-D3DNA3G

Related product manuals