EasyManua.ls Logo

Gree GWH12QB-K6DNB4A

Gree GWH12QB-K6DNB4A
182 pages
To Next Page IconTo Next Page
To Next Page IconTo Next Page
To Previous Page IconTo Previous Page
To Previous Page IconTo Previous Page
Loading...
112
Installation and Maintenance
Service Manual
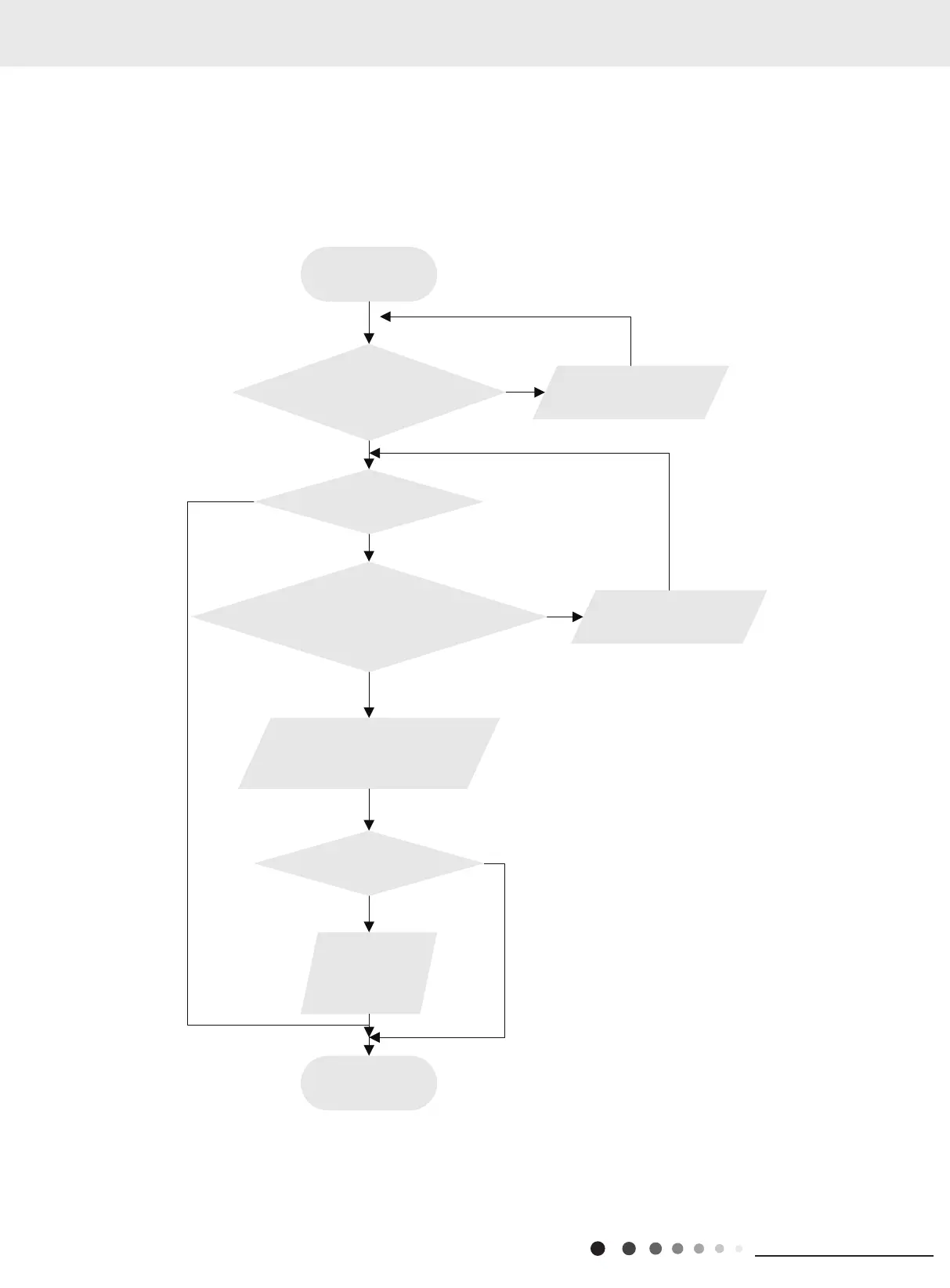
4. Start-up failure (following AP1 for outdoor unit control board)
Mainly detect:
●Whether the compressor wiring is connected correct?
●Is compressor broken?
●Is time for compressor stopping enough?
Fault diagnosis process:
No
Yes
No
No
Yes
Yes
Yes
No
Power on the unit
Is stop time of the compressor
longer than 3 minutes?
Restart it up after
3 minutes
Does startup fail?
Are the wires for the compressor connected
correctly? Is connection sequence right?
Replace the control panel AP1
If the fault is eliminated?
Connect the wires as
per the connection
diagram
Replace the
compressor
End

Related product manuals