EasyManua.ls Logo

Gree Multi+ Ultra MULTIU18HP230V1DO - Malfunction Checking and Elimination

Gree Multi+ Ultra MULTIU18HP230V1DO
65 pages
Print Icon
To Next Page IconTo Next Page
To Next Page IconTo Next Page
To Previous Page IconTo Previous Page
To Previous Page IconTo Previous Page
Loading...
30
Installation and Maintenance
Service Manual
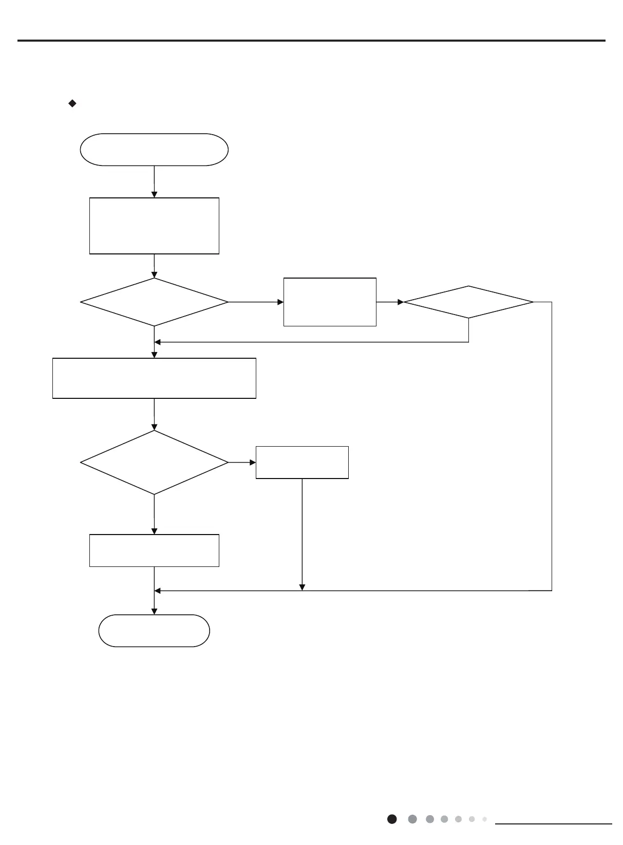
Eliminate the malfunction
End
Communication malfunction of some
indoor units
De-energize, check the connection
wire of indoor and outdoor unit and
the wire of the eletric box is
connected correctly
N
N
N
Connected correctly
Reconnect according to
the wiring diagram
Y
N
Y
De-energize, change the communication wire of the well-
communicated indoor unit and malfunction indoor unit,
then energize the unit and wait for 3min
The malfunction indoor unit
resumes normal
Replace outdoor
mainboard
Replace the mainboard of the
malfunction indoor unit
Malfunction display: E6 Communication malfunction
9.2 Malfunction Checking and Elimination

Related product manuals