EasyManua.ls Logo

Hammond X-66 - X-66 Headroom Concept Explained

Hammond X-66
16 pages
Print Icon
To Next Page IconTo Next Page
To Next Page IconTo Next Page
To Previous Page IconTo Previous Page
To Previous Page IconTo Previous Page
Loading...
X66 Vibrato Driver Preamp Dec.2010
dan.vigin
Page 6
X-66 Headroom concept
We can notice on the diagram that those preamp's are fed by a voltage of +250 Vdc
which is totally unusual for a conventional audio preamp. In the X-66 console, this
voltage is even more, +265 Vdc were measured !
When looking on the original schematic diagram Fig 5-7, we can see that the incoming
voltage at the Treble Vibrato Drive Preamp (Drawbars) is only 0.05 Vpp (Pt. E from
Flute Filter) and the output voltage is 3.5 Vpp. So the amplification factor is 70.
Then the question is: " Why to feed this circuit with such a high voltage of +250Vdc ? "
After invesitigations, I came to the conclusion that one reason of feeding this circuit
with +250 Vdc is to procure very high "headroom" to the outgoing signal.
Headroom can be defined as ' the difference between the normal operating level and
the clipping level (or undistorted value) of an audio device'.
During tests, I found that the announced 3.5 Vpp level as indicated on Fig 5-7 can be
easily obtained with a supply voltage of +25 Vdc. However, if we increase the level of
the incoming signal, distortion appears rapidly (mostly clipping).
If the same circuit is powered with +250 Vdc (i.e. 10 times more), then clipping
(distortion) only appears when the outgoing signal reaches 115 Vpp i.s.o. 3.5 Vpp !
This way of doing provides an 'headroom' of 115 Vpp – 3.5 Vpp = 111.5 Vpp.
Generally, headroom value is expressed in dB.
In this case, the headroom is + 29,8 dB, unusually high.
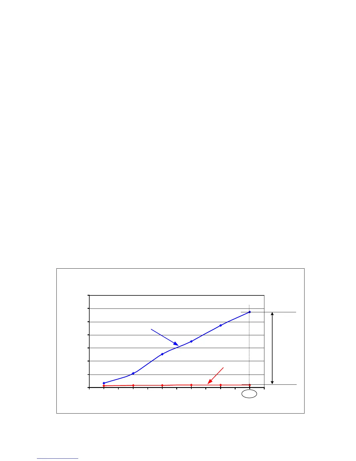
Extensive measurements were conducted on workbench and as an issue the next
graphic was outlined.
X66 Vibrato Driver Preamp
0,00
20,00
40,00
60,00
80,00
100,00
120,00
140,00
24 48 100 150 200 250
Vcc (+Vdc)
Vout (Vpp)
Vout with constant input
Voltage of 50 mVpp
Vout with Vin adjusted
before clipping (Max Vout)
Headroom
(+ 29.8 dB)

Other manuals for Hammond X-66

Related product manuals