EasyManua.ls Logo

Hitachi 57F59A - Page 85

Hitachi 57F59A
183 pages
Print Icon
To Next Page IconTo Next Page
To Next Page IconTo Next Page
To Previous Page IconTo Previous Page
To Previous Page IconTo Previous Page
Loading...
84
DP65
2
.
23
-0
2
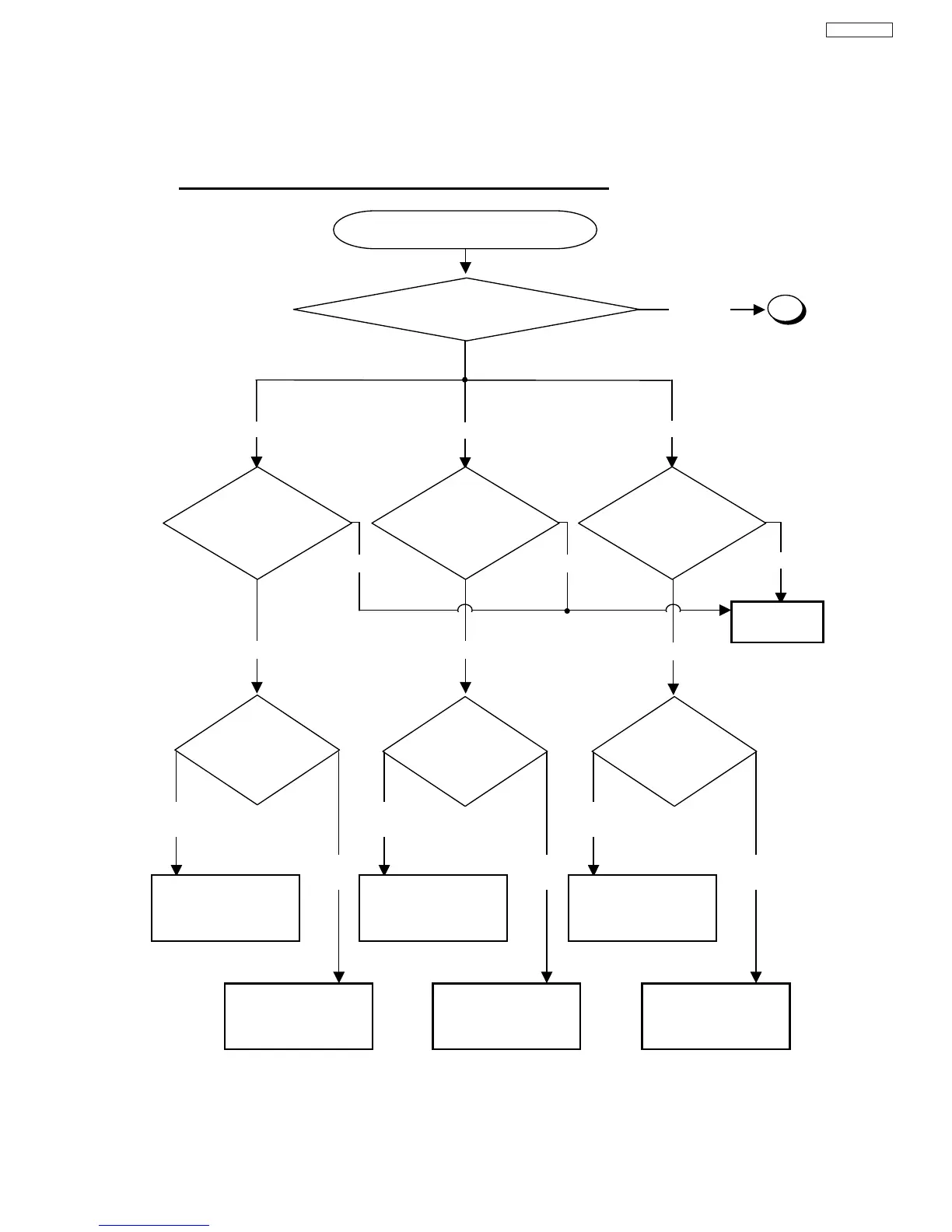
Trouble shooting for Convergence
OK
NG
NG NG
A
All Color
1.Convergence not be corrected (How to check)
Convergence not be corrected
Replace
DCU
Green
Red
Blue
O
K
O
K
What color has shifted?
Which has shifted,
VERTICAL line or
HORIZONTAL line?
Which has shifted,
VERTICAL line or
HORIZONTAL line?
Which has shifted,
VERTICAL line or
HORIZONTAL line?
HORIZONTAL
line
CHECK & CHANGE
RK14/RK15 (RH)
IK01 (CY Amp)
VERTICAL
line
CHECK & CHANGE
RK18/RK19 (RV)
IK01 (CY Amp)
HORIZONTAL
line
CHECK & CHANGE
RK34/RK35 (GH)
IK02 (CY Amp)
VERTICAL
line
CHECK & CHANGE
RK30/RK31 (GV)
IK01 (CY Amp)
HORIZONTAL
line
CHECK & CHANGE
RK22/RK23 (BH)
IK02 (CY Amp)
VERTICAL
line
CHECK & CHANGE
RK26/RK27 (BV)
IK02 (CY Amp)
DCU out CHECK
PDCU 2 pin (RH)…
(*1)
PDCU 4 pin (RV)…
(*2)
DCU out CHECK
PDCU 6 pin (GH)…
(*1)
PDCU 8 pin (GV)…
(*2)
DCU out CHECK
PDCU 10 pin (BH)…
(*1)
PDCU 12 pin (BV)…
(*2)

Related product manuals