EasyManua.ls Logo

Hitachi SR-804 - Page 16

Hitachi SR-804
24 pages
Print Icon
To Next Page IconTo Next Page
To Next Page IconTo Next Page
To Previous Page IconTo Previous Page
To Previous Page IconTo Previous Page
Loading...
HITACHI
SR-804
PRODUCT
SAFETY
NOTE:
Components
marked
with
a
4
have
special
characteristics
important
to
safety.
SICHERHEITSHINWEIS:
Die
mit
4
gekennzeichneten
Komponenten
haben
wichtige
Sicherheitsaufgaben.
NOTICE
DE
SECURITE
DE
FABRICATION:
Les
composants
qui
sont
accompagnés
du
symbole
A
possédent
des
caractéristiques
spéciales.
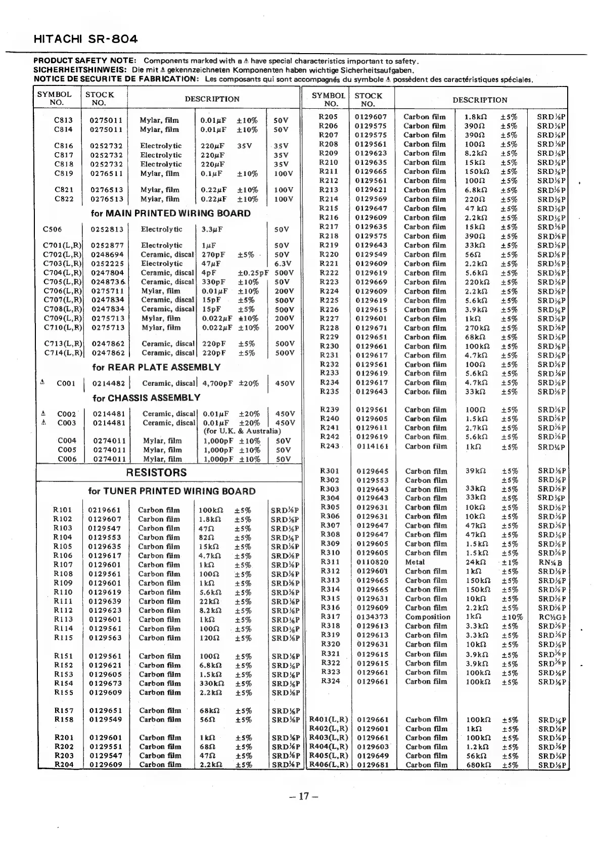
SYMBOL
SYMBOL
NO.
:
DESCRIPTION
NO.
0275011
Mylar,
film
0.014uF
R205
0129607
Carbon
film
1.8k2
+5%
0275011
Mylar,
film
0.01uF
R206
0129575
Carbon
film
3902
+5%
R207
0129575
Carbon
film
3902
£5%
0252732
Electrolytic
220uF
R208
0129561
Carbon
film
1002
45%
0252732
Electrolytic
220uF
R209
0129623
Carbon
film
8.2kQ2
+5%
0252732
Electrolytic
220uF
R210
0129635
Carbon
film
15k2
45%
0276511
Mylar,
film
0.1uF
+10%
R2i1
0129665
Carbon
film
150kQ2
45%
R212
0129561
Carbon
film
1002
§=45%
0276513
Mylar,
film
0.22uF
+10%
R213
0129621
Carbon
film
6.8k2
45%
0276513
Mylar,
film
0.22uF
+10%
R214
0129569
Carbon
film
2202
+5%
R215
0129647
Carbon
film
47kQ
+5%
for
MAIN
PRINTED
WIRING
BOARD
R216
|
0129609
|
Carbon
film
2.2kQ2
45%
C506
0252813
|
Electrolytic
|
3.3uF
R217
|
0129635
|
Carbon
film
|
15kQ2
+5%
R218
0129575
Carbon
film
3902
45%
C701(L,R)|
0252877
Electrolytic
1yuF
R219
0129643
Carbon
film
33k
45%
C702(L,R)|
0248694
Ceramic,
discal]
270pF
+5%
-
R220
0129549
Carbon
film
562
45%
C703(L,R)|
0252225
Electrolytic
47uF
3
R221
0129609
Carbon
film
2.2kQ
+5%
C704(L,R)|
0247804
Ceramic,
discal]
4pF
+0.25pF
R222
0129619
Carbon
film
5.6kQ2
+5%
C705(L,R)|
0248736
Ceramic,
discal}
330pF
+10%
R223
0129669
Carbon
film
220k2
+5%
C706(L,R)|
0275711
Mylar,
film
0.01pF
+10%
R224
0129609
Carbon
film
2.2k2
+5%
C707(L,R)}
0247834
Ceramic,
discal}
15pF
+5%
R225
0129619
Carbon
film
§.6k2Q
+5%
C708(L,R)|
0247834
Ceramic,
discal]
15pF
+5%
R226
0129615
Carbon
film
3.9kQ
45%
C709(L,R)|
0275713
|
Mylar,
film
0.022uF
£10%
R227.
|
0129601
Carbon
film
1kQ
£5%
C710(L,R)|
0275713
Mylar,
film
0.022uF
+10%
R228
0129671
Carbon
film
270k2
+5%
F
;
R229
0129651
Carbon
film
68k
+5%
C713(L,R)|
0247862
Ceramic,
discal]
220pF
+5%
R230
0129661
Carbon
film
100k2
+45%
C714(L,R)|
0247862
Ceramic,
discal}
220pF
+5%
R231
0129617
Carbon
film
4.7kQ
+5%
R232
0129561
Carbon
film
1002
45%
for
REAR
PLATE
ASSEMBLY
R233.
|
0129619.
|
Carbonfilm
|
5.6kQ
+5%
0214482
|
Ceramic,
discall
4,700pF
+20%
|
450V
R234
|
0129617
|
Carbon
film
|
4.7kQ2
+5%
R235
0129643
Carbon
film
33k2
+5%
for
CHASSIS
ASSEMBLY
0214481
Ceramic,
discal]
0.01uF
+20%
450V
0214481
Ceramic,
discal]
0.01uF
+20%
450V
DESCRIPTION
R239
0129561
Carbon
film
1002
£5%
SRD%P
R240
0129605
Carbon
film
1.5kQ2
45%
SRD%P
1
(for
U.K.
&
Australia)
R241
0129611
Carbon
film
2.7KQ
45%
SRD%P
1
0274011
Mylar,
film
1,000pF
+10%
50V
R242
0129619
Carbon
film
5.6k2
+5%
SRD‘%P
0274011
|
Mylar,
film
1,000pF
+10%
|
50V
R243
|
0114164
|
Carbon
film
|
1kQ
£5%
SRD%P
0274011|
Mylar,
film
1,000pF
+10%
|
Sov
RESISTORS
R301
|
0129645
|
Carbon
film
|
39kQ
+5%
|
SRD%P
R302
0129553
Carbon
film
£5%
SRD/%P
for
TUNER
PRINTED
WIRING
BOARD
R303
0129643
Carbon
film
33kQ
+5%
SRD%P
R304
0129643
Carbon
film
33kQ
45%
SRD
%P
0219661
Carbon
film
100kQ
+5%
SRDP
R305
0129631
Carbon
film
10kQ
45%
SRD'%P
0129607
Carbon
film
1.8kQ
+5%
SRD
KP
R306
0129631
Carbon
film
10kQ
+5%
SRDM%P
0129547
Carbon
film
472
£5%
SRDKP
R307
0129647
Carbon
film
47kQ
45%
SRD/4P
0129553
Carbon
film
822
+5%
SRD&P
R308
0129647
Carbon
film
47kQ
+5%
SRD&P
0129635
Carbon
film
15kQ
+5%
SRD%P
R309
0129605
Carbon
film
1.5k2
+5%
SRD4P
0129617
Carbon
film
4.7kQ
+5%
SRD%P
R310
0129605
Carbon
film
1.5kQ
45%
SRD%P
0129601
|
Carbon
film
[1kQ
45%
|SRD%P||
R311
|
0110820
|
Metal
24k
=
1%
=|
RN”B
0129561
Carbon
film
1002
+5%
SRDKP
R312
|
0129601
Carbon
film
1kQ
+5%
SRDP
0129601
Carbon
film
1k9
+5%
SRD%P
R313
0129665
Carbon
film
150kQ
45%
SRD%P
0129619
Carbon
film
5.6k2
45%
SRD%P
R314
0129665
Carbon
film
150kQ
45%
SRDKP
0129639
Carbon
film
22kQ
+5%
SRD
KP
R315
0129631
Carbon
film
10kQ
+5%
SRD%P
0129623
Carbon
film
8.2kQ
+5%
SRD%P
R316
0129609
Carbon
film
2.2k2
+5%
SRD%P
0129601
|
Carbon
film
|
1kQ
+5%
SRD4P
R317
|
0134373
|
Composition
|
1k
+10%
|
RC*GE
0129561
|
Carbon
film
1002
=
45%
SRDYP||
R318
|
0129613
|
Carbon
film
3.3kQ
45%
SRD4P
0129563
Carbon
film
120Q
+5%
SRDKP
R319
0129613
Carbon
film
3.3k2
+5%
SRD4P
R320
0129631
Carbon
film
10k
+5%
SRDP
0129561
Carbon
film
1002
=
5%
SRD
%P
R321
|
0129615
Carbon
film
3.9kQ
+5%
SRD%P
0129621
Carbon
film
6.8k2
+5%
SRD%P
R322
0129615
Carbon
film
3.9kQ
+5%
SRD“*P
0129605
|
Carbon
film
1.5kQ
+5%
SRDKP
R323
|
0129661
|
Carbon
film
100k2
45%
SRD%P
0129673
|
Carbon
film
330k2
45%
SRD&P
R324
|
0129661
|
Carbon
film
100kK2
45%
SRD%P
0129609
Carbon
film
2.2kQ
45%
SRDP
0129651
Carbon
film
68k
+5%
SRDP
0129549
Carbon
film
§62
45%
SRD
P
||
R401(L,R)
|
0129661
Carbon
film
SRDY%P
R402(L,R)
|
0129601
Carbon
film
SRD%P
0129601
Carbon
film
1kQ
+5%
SRD
XP
jj
R403(L,R)
|
0129661
Carbon
film
SRD%P
0129551
|
Carbon
film
682
45%
SRDP
||
R404(L,R)
|
0129603
|
Carbon
film
SRD
%P
0129547
Carbon
film
472
45%
SRD%P
||
R405(L,R)
|
0129649
Carbon
film
SRD%P
0129609
Carbon
film
2.2k2
45%
SRD‘
P
||
R406(L.R)
|
0129681
Carbon
film
SRD%P
wf