EasyManua.ls Logo

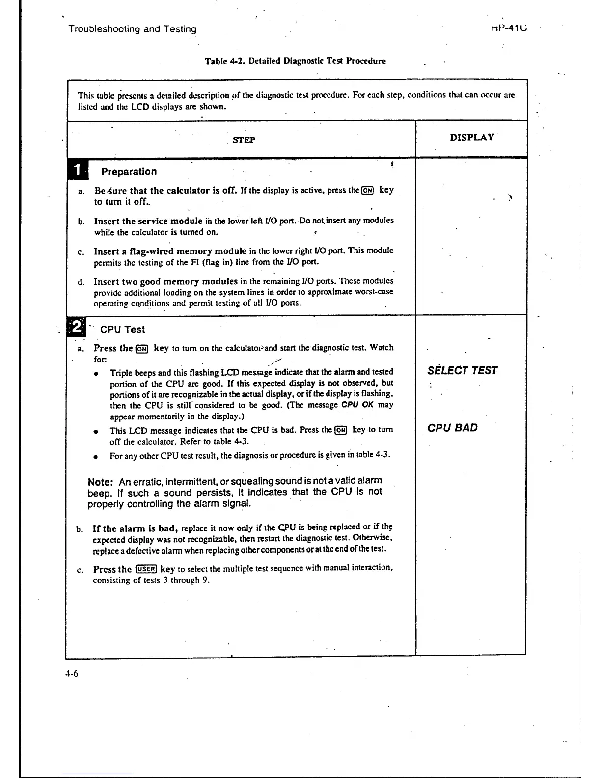
HP 41C - Detailed Diagnostic Test Procedure; CPU Test

HP 41C
45 pages
Print Icon
To Next Page IconTo Next Page
To Next Page IconTo Next Page
To Previous Page IconTo Previous Page
To Previous Page IconTo Previous Page
Loading...

Table of Contents

Related product manuals