EasyManua.ls Logo

HP Photosmart 7520

HP Photosmart 7520
102 pages
To Next Page IconTo Next Page
To Next Page IconTo Next Page
To Previous Page IconTo Previous Page
To Previous Page IconTo Previous Page
Loading...
Set the fax speed
You can set the fax speed used to communicate between your printer and other fax machines when sending and
receiving faxes.
If you use one of the following, setting the fax speed to a slower speed might be required:
An Internet phone service
A PBX system
Fax over Internet Protocol (FoIP)
An integrated services digital network (ISDN) service
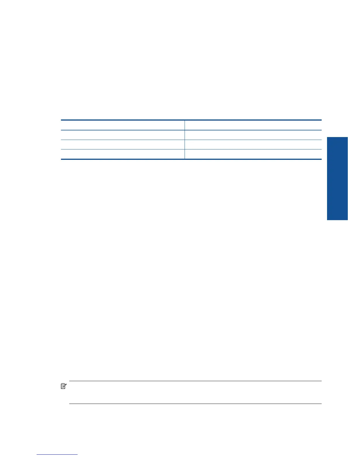
If you experience problems sending and receiving faxes, try using a lower Fax Speed. The following table
provides the available fax speed settings.
Fax speed setting Fax speed
Fast v.34 (33600 bps)
Medium v.17 (14400 bps)
Slow v.29 (9600 bps)
To set the fax speed
1. From the Home screen, touch the Fax icon.
2. Touch Settings, and then touch Advanced Fax Setup.
3. Touch Fax Speed.
4. Touch to select an option.
Set the fax sound volume
Use this procedure to increase or decrease the volume of the fax sounds.
To set the fax sound volume
1. From the Home screen, touch the Fax icon.
2. Touch Settings, and then touch Basic Fax Setup.
3. Touch Fax Sound Volume.
4. Touch to select Soft, Loud, or Off.
Fax and digital phone services
Many telephone companies provide their customers with digital phone services, such as the following:
DSL: A Digital subscriber line (DSL) service through your telephone company. (DSL might be called ADSL in
your country/region.)
PBX: A private branch exchange (PBX) phone system.
ISDN: An integrated services digital network (ISDN) system.
FoIP: A low-cost phone service that allows you to send and receive faxes with your printer by using the
Internet. This method is called Fax over Internet Protocol (FoIP). For more information, see Fax over Internet
Protocol on page 38.
HP printers are designed specifically for use with traditional analog phone services. If you are in a digital phone
environment (such as DSL/ADSL, PBX, or ISDN), you might need to use digital-to-analog filters or converters
when setting up the printer for faxing.
NOTE: HP does not guarantee that the printer will be compatible with all digital service lines or providers, in
all digital environments, or with all digital-to-analog converters. It is always recommended that you discuss
with the telephone company directly for the correct setup options based on their line services provided.
Fax and digital phone services 37
Fax

Other manuals for HP Photosmart 7520

Related product manuals