EasyManua.ls Logo

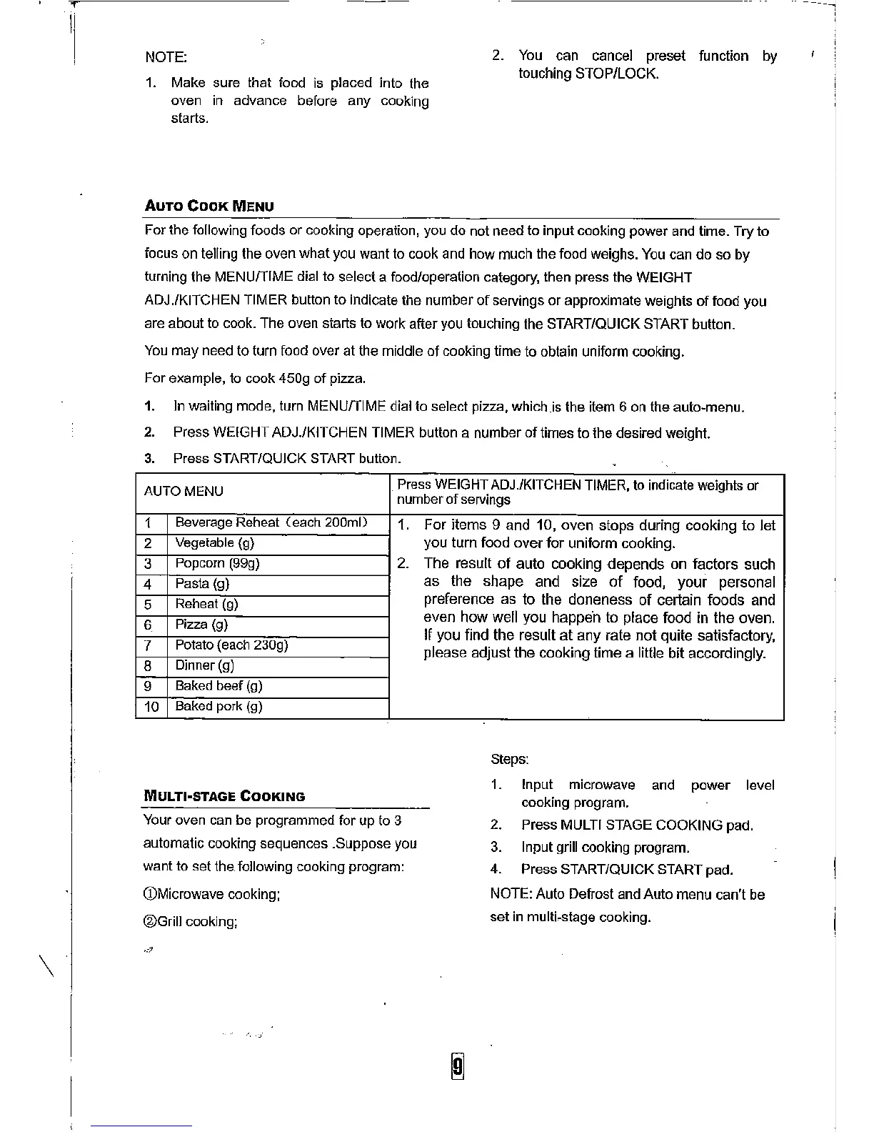
Indesit D90D25ESP-A5 - Auto Cook Menu; Multi-Stage Cooking

Indesit D90D25ESP-A5
12 pages
Print Icon
To Next Page IconTo Next Page
To Next Page IconTo Next Page
To Previous Page IconTo Previous Page
To Previous Page IconTo Previous Page
Loading...

Related product manuals