EasyManua.ls Logo

JETI model MUI EX - Page 2

JETI model MUI EX
4 pages
Print Icon
To Next Page IconTo Next Page
To Next Page IconTo Next Page
To Previous Page IconTo Previous Page
To Previous Page IconTo Previous Page
Loading...
Sensor MUI EX
-2-
MUI MENU: MIN / MAX by pushing the button D (downward arrow) you will select the display of
extreme voltage and current value recordings which occurred during the measurement. The extreme
recordings are deleted automatically or they can be deleted in the menu Setting - Erase Data. Automatic
deletion occurs when the MUI sensor has just been connected to the voltage supply and the current, as set
in the menu Setting-Start Trigger, will be exceeded. If after connection of the sensor the set current will
not be exceeded, values of the previous sensor operation will be displayed.
U MIN / MAX shows the minimum and maximum value of the measured voltage
I AVG / MAX shows the average value of the measured current and its maximum
MUI MENU: Setting by pushing the button D (downward arrow) you will enter the basic sensor setup
menu
Start Trigger setup of a current value, at which after sensor connection recording of values like
minimum, maximum and current transit time starts. If the adjusted value is 0 A, values will be recorded
immediately after connection of the sensor to its power supply and data read out of the previous operation
will not be possible.
Erase Data by pushing arrows R and L (right and left) simultaneously the records of measured
parameters will be deleted
First Parametr adjustment of the display of the first parameter in the JETIBOX LCD, which is shown
in the second line of the basic sensor menu (the first line shows the identification, for instance SENSOR
MUI 30)
Second Parametr - adjustment of the display of the second parameter in the JETIBOX LCD, which is
shown in the second line of the basic sensor menu (the first line shows the identification, for instance
SENSOR MUI 30)
Auto. Erase - This function of automatical deletion after overstepping the trigger level can be activated or
deactivated.
MUI MENU: ALARMS by pushing button D (downward arrow) you enter setup of particular alarms.
If one of the adjusted parameters becomes exceeded, the JETIBOX LCD will in the second line of the
basic menu alternately show the original display with the pertinent alarm and the transmitter module siren
will emit an acoustical alarm. The first tone is a revelation signal and the second one is signalling a Morse
Code character of the relevant alarm. If the alarm is set to OFF, this kind of alarm will be switched off.
Voltage alarm (alarm U ..- ) adjustment of the value of voltage signalling, if the measured voltage
decreases beyond the set value, the voltage alarm U will be activated.
Current alarm (alarm I .. ) adjustment of the value of current signalling, if the measured current
increases beyond the set value, the current alarm I will be activated.
Capacity alarm (alarm C -.-. ) adjustment of the signalling value of consumed capacity , if the
adjusted value of maximum consumed capacity is exceeded, alarm C will be activated.
MUI MENU: SERVICE by pressing button D (arrow down) you will change to depiction of the
firmware version and to renewal of the sensor default setting.
Factory Defaults by simultaneous pressing of arrows R and L (right and left) the factory settings of the
MUI are loaded.
MUI v. xx.xx ID xxxxx:xxxxx product marking with firmware version and series number (ID).
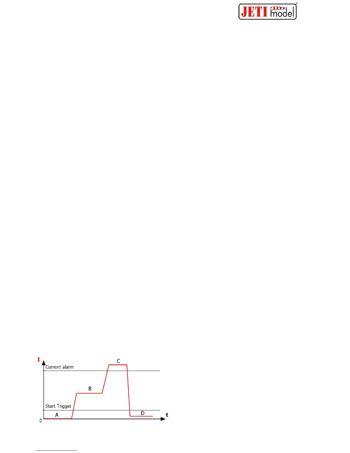
Particular phases of current measurements
A when after switching on of the sensor the
current did not exceed the set value Start Trigger.
Measured values (U MIN / MAX, I AVG / MAX,
Capacity, Run Time) correspond with measured
values of the previous operation.
B the value Start Trigger has been exceeded.
Previous measured values (U MIN / MAX, I AVG /
MAX, Capacity, Run Time) will be deleted and
actualized by the actual measurement course.

Related product manuals