EasyManua.ls Logo

Jun-Air 3-4 - Performance Curves

Jun-Air 3-4
56 pages
Print Icon
To Next Page IconTo Next Page
To Next Page IconTo Next Page
To Previous Page IconTo Previous Page
To Previous Page IconTo Previous Page
Loading...
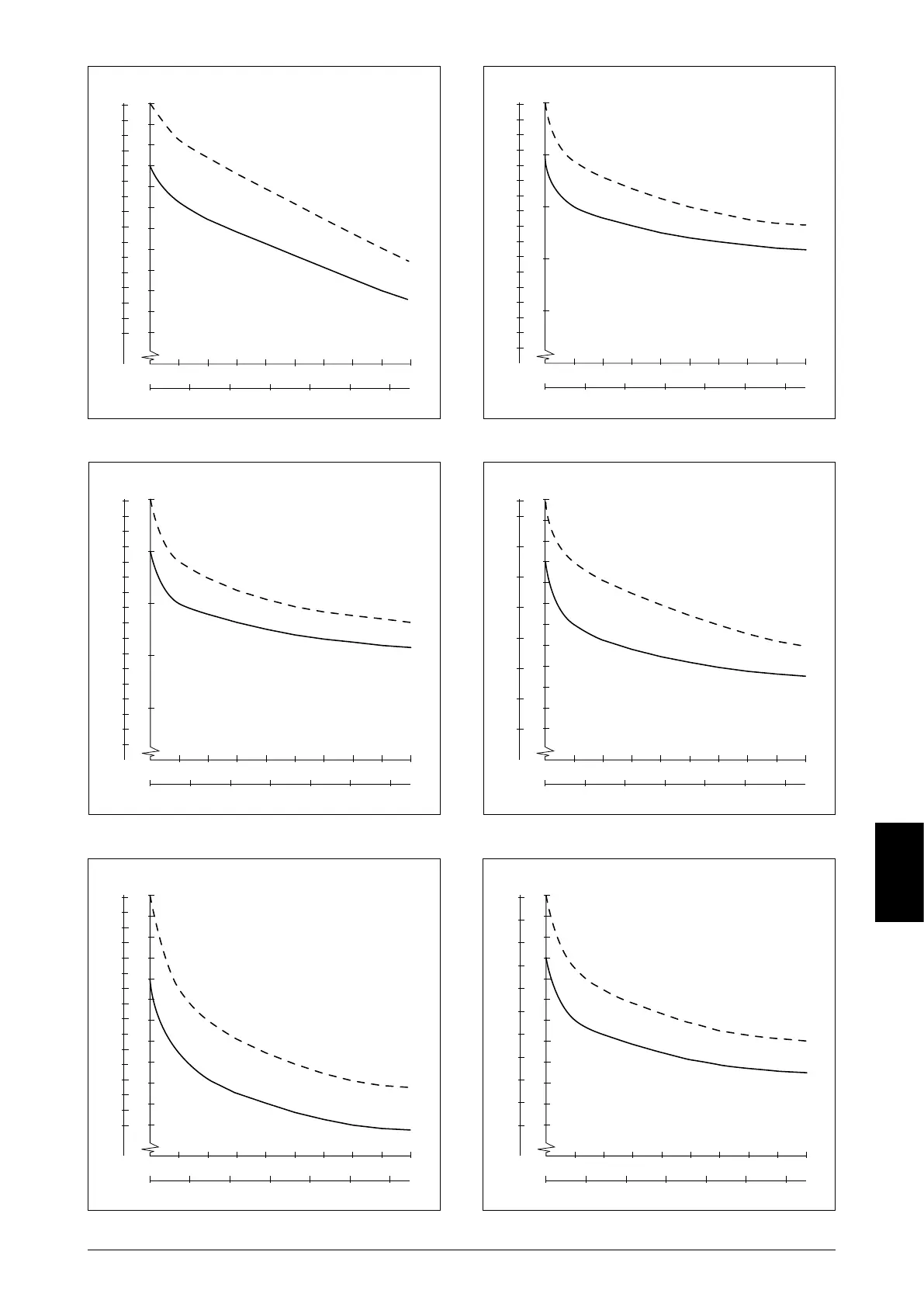
29
20
15
10
1 2
3
0
4
5
6
7 8
bar
Ltr./min.
0,7
0,6
0,4
cu.ft/min.
0
20
40
60
80
100
120
psi
0,5
50 Hz
60 Hz
Model 3
120
100
80
60
40
1 2
3
0
4
5
6
7 8
bar
Ltr./min.
4,0
3,0
2,0
cu.ft/min.
0
20
40
60
80
100
120
psi
50 Hz
60 Hz
Model 12
60
50
40
30
20
1 2
3
0
4
5
6
7 8
barg
Ltr./min.
2,0
1,5
1,0
cu.ft/min.
0
20
40
60
80
100
120
psig
50 Hz
60 Hz
Model 6
240
140
1 2
3
0
4
5
6
7 8
bar
Ltr./min.
8,0
7,0
5,0
cu.ft/min.
0
20
40
60
80
100
120
psi
6,0
220
200
180
160
50 Hz
60 Hz
Model 24
180
80
1 2
3
0
4
5
6
7 8
bar
Ltr./min.
6,0
5,0
3,0
cu.ft/min.
0
20
40
60
80
100
120
psi
4,0
160
140
120
100
50 Hz
60 Hz
Model 18
360
160
1 2
3
0
4
5
6
7 8
bar
Ltr./min.
12,0
10,0
8,0
cu.ft/min.
0
20
40
60
80
100
120
psi
9,0
320
280
240
200
50 Hz
60 Hz
Model 36
Technical data

Related product manuals