EasyManua.ls Logo

Keithley 237 - Page 199

Keithley 237
314 pages
Print Icon
To Next Page IconTo Next Page
To Next Page IconTo Next Page
To Previous Page IconTo Previous Page
To Previous Page IconTo Previous Page
Loading...
+
SECTION3
IEEE-488
Reference
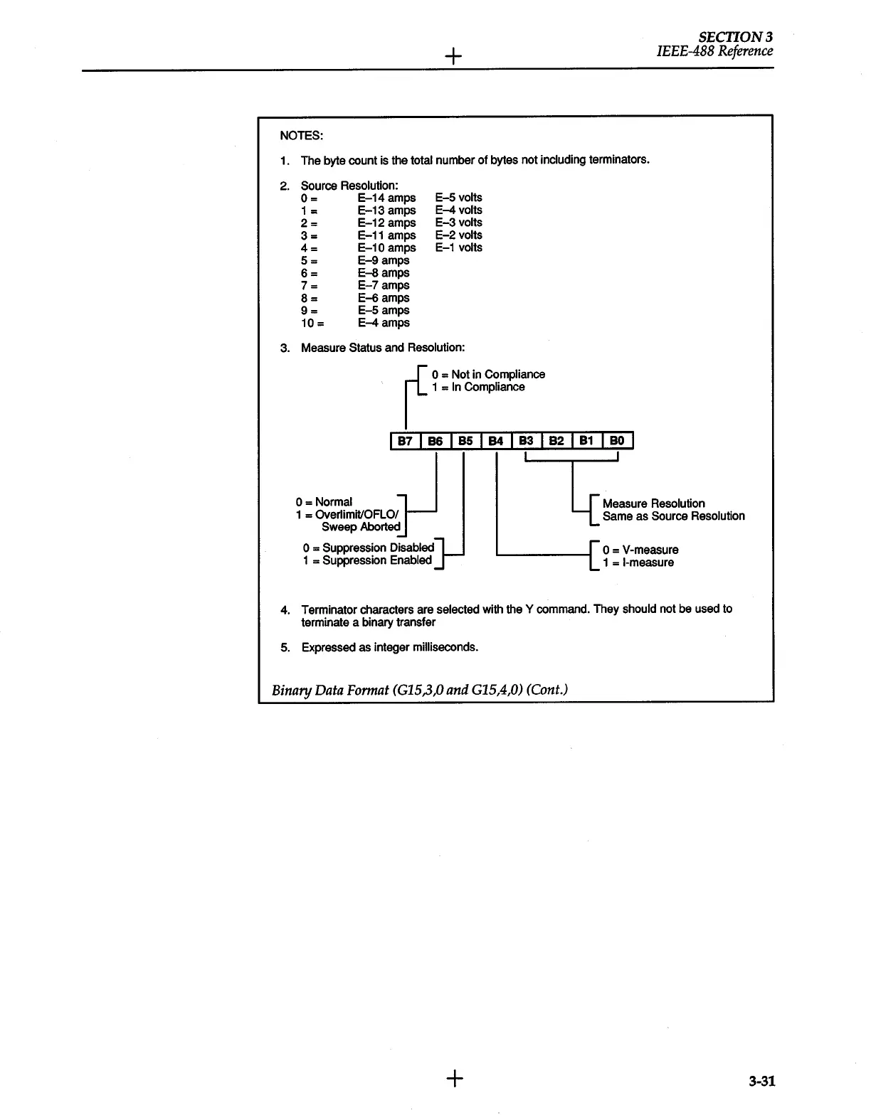
NOTES:
1.
The
byte
count
is
the
total
number of bytes not
including
terminators.
2.
Source
Resolution:
0=
E-14amps
1 = E-13
amps
2 = E-12
amps
3 = E-11
amps
4=
E-10amps
5=
E-9amps
6=
E-8amps
7=
E-7
amps
8=
E-6amps
9=
E-5amps
10
=
E-4
amps
E-5volts
E-4volts
E-3
volts
E-2
volts
E-1
volts
3.
Measure Status
and
Resolution:
r{
0 = Not
in
Compliance
1
1
In
Cornpllanoe
'~'~'~'~'~'~'~'~'
0 =Normal
~
~"""',_..,on
1 =
Overlimit/OFLO/
L{
~:me
as
Source
Resolution
Sweep
Aborted
0
= Suppression
Disabled
l__
o
=
V-measure
1 = Suppression
Enabled
F
1 =
1-measure
4.
Terminator characters
are
selected
with
theY
command.
They
should
not
be
used
to
terminate a binary transfer
5.
Expressed
as
integer
milliseconds.
Binary
Data Format
(G15,3,0
and
G15,4,0)
(Cont.)
+
3-31

Other manuals for Keithley 237

Related product manuals