EasyManua.ls Logo

KitchenAid KHWS160VWH5 - Page 15

KitchenAid KHWS160VWH5
16 pages
Print Icon
To Next Page IconTo Next Page
To Next Page IconTo Next Page
To Previous Page IconTo Previous Page
To Previous Page IconTo Previous Page
Loading...
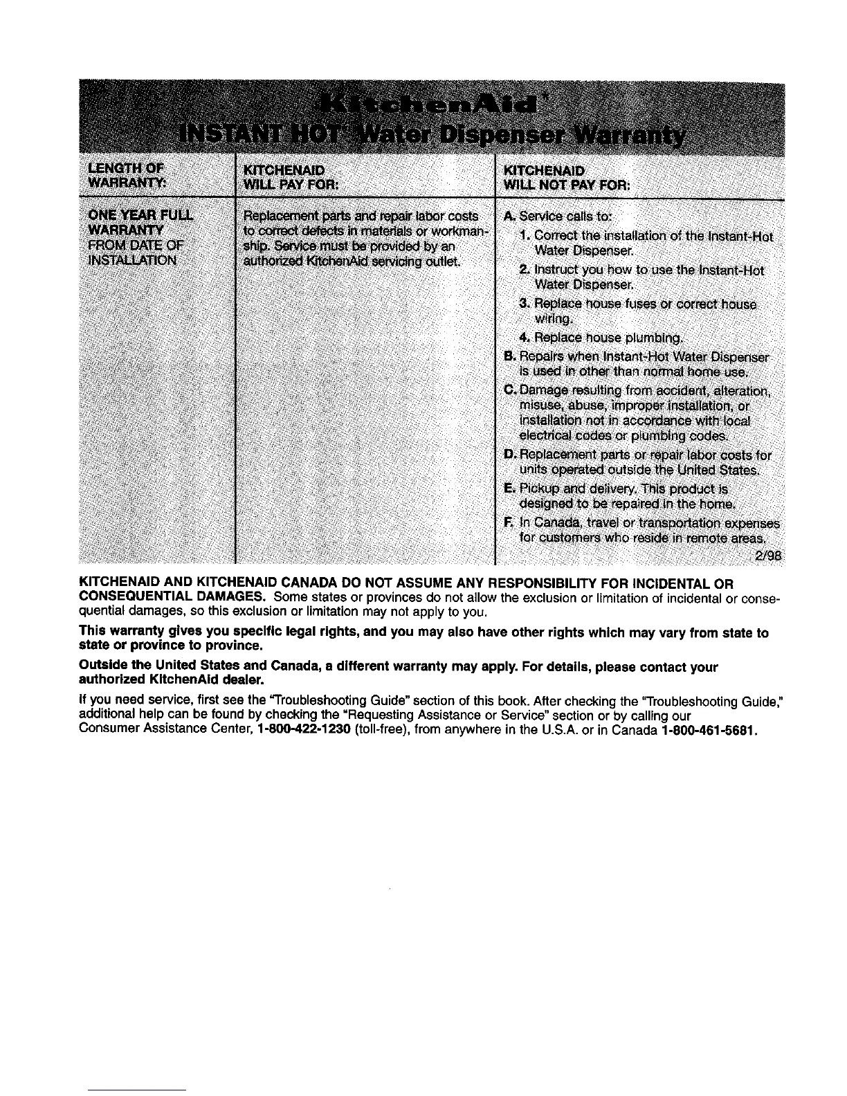
KITCHENAIDANDKITCHENAIDCANADADONOTASSUMEANYRESPONSIBILITYFORINCIDENTALOR
CONSEQUENTIALDAMAGES.Somestatesorprovincesdonotallowtheexclusionorlimitationofincidentalorconse-
quentialdamages,sothisexclusionorlimitationmaynotapplytoyou.
Thiswarrantygivesyouspecific legal rights, and you may also have other rights which may vary from state to
state or province to province.
Outside the United States and Canada, e different warranty may apply. For details, please contact your
authorized KltchenAid dealer.
If you need service, first see the"Troubleshooting Guide"sectionof this book. After checkingthe "Troubleshooting Guide,"
additional help can be found by checkingthe "Requesting Assistance or Service" section or by calling our
Consumer Assistance Center, 1-800-422-1230 (toll-free), from anywhere in the U.S.A. or in Canada 1-800-461-5681.