EasyManua.ls Logo

Lennox Enlight LGT240H4M

Lennox Enlight LGT240H4M
106 pages
To Next Page IconTo Next Page
To Next Page IconTo Next Page
To Previous Page IconTo Previous Page
To Previous Page IconTo Previous Page
Loading...

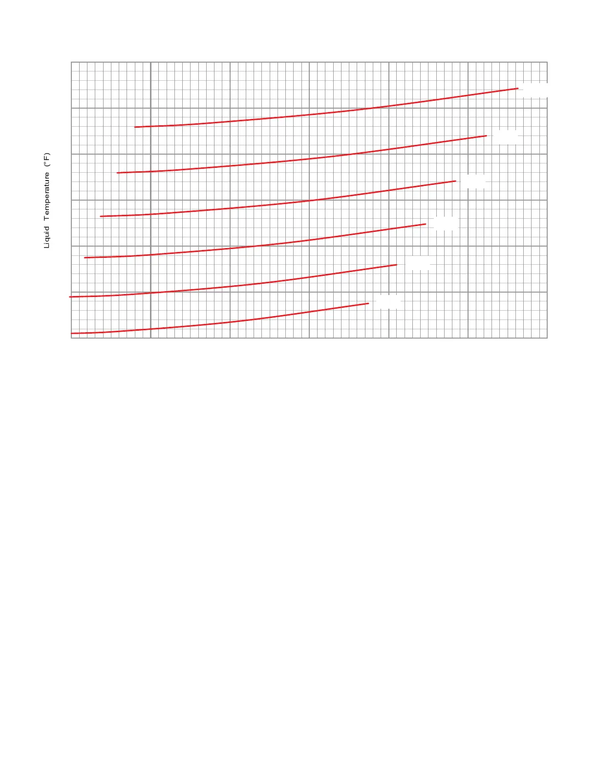
300 CHARGING CURVE CIRCUIT 4 - NO REHEAT - ALL-ALUMINUM COIL - 581098-01
Suction Pressure (psig)
70
80
90
100
110
120
Outdoor Temperature (°F)
105°
95°
115°
85°
75°
65°
061051041031021011100

Related product manuals