EasyManua.ls Logo

Logik LUF55B13 - Insufficient Cooling Capacity

Logik LUF55B13
31 pages
Print Icon
To Next Page IconTo Next Page
To Next Page IconTo Next Page
To Previous Page IconTo Previous Page
To Previous Page IconTo Previous Page
Loading...
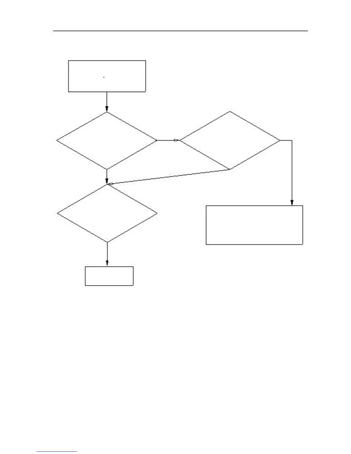
Maintenance Service and Trouble Shooting
3 Cooling capacity is insufficient
Cooling capacity is
insufficient
Is the ambient YES
temperature low than
16°C
Check the therostat is
correct?
YES
NO
Does the refrigerant
leak siowly?.
Adjust and instruct
consumer how to use.
Repair
12

Related product manuals