EasyManua.ls Logo

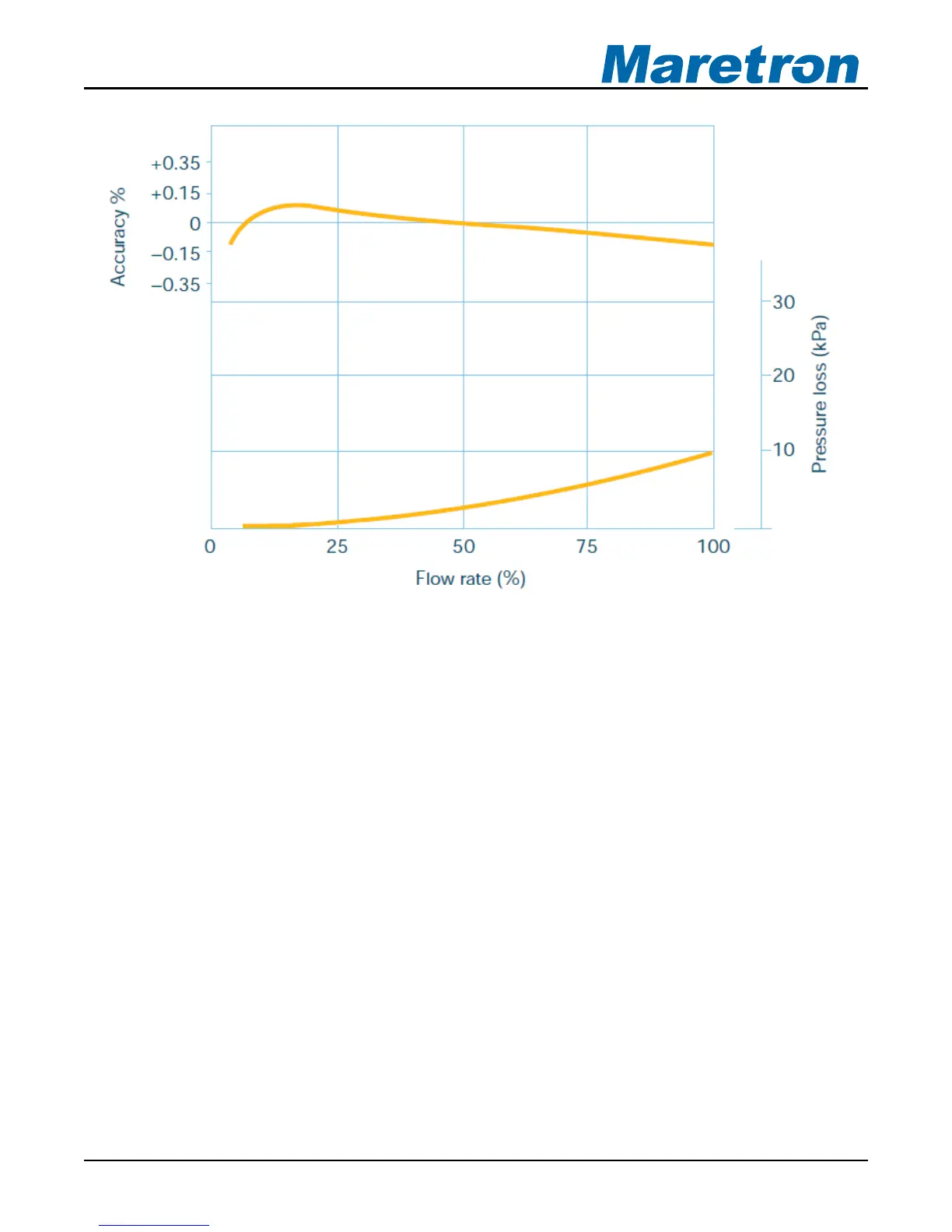
Maretron FFM100 - Figure 1 - M1 RSP-2 R-E8 and M2 RSP-2 R-E8 Accuracy and Pressure Loss

Maretron FFM100
28 pages
Print Icon
To Next Page IconTo Next Page
To Next Page IconTo Next Page
To Previous Page IconTo Previous Page
To Previous Page IconTo Previous Page
Loading...
®®
Figure 1 - M1RSP-2R-E8 and M2RSP-2R-E8 Accuracy and Pressure Loss
Please refer to Figure 2 below for a chart detailing typical accuracy and pressure loss versus
flow rate for the M4ARP-2-E8 fuel flow sensor.
Revision 1.2 Page 3

Table of Contents