EasyManua.ls Logo

Maytag DWU7300AAX - Page 16

Maytag DWU7300AAX
16 pages
Print Icon
To Previous Page IconTo Previous Page
To Previous Page IconTo Previous Page
Loading...
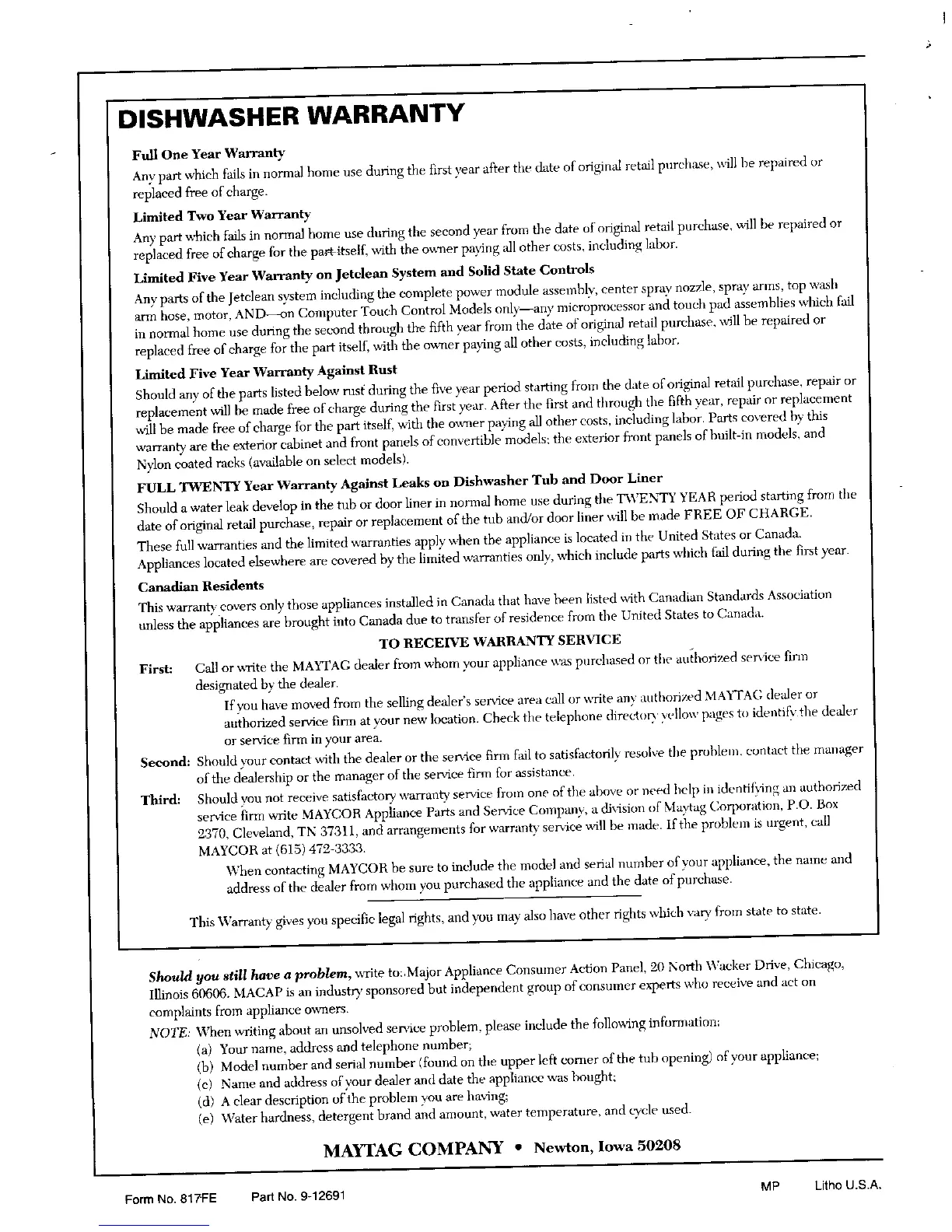
DISHWASHER WARRANTY
Full One Year Warranty
Any part which fails in norm'a[ home use during the first }'ear after the date of origimd ret_ti] purch.xse will be repaired or
replaced free of charge.
Limited Two Year Warranty-
Any part which fails in normal home use during the second year from the date of original retail purchase, will be repaired or
replaced free of charge for the par4itself, with the owner pa)4ng all other costs, including labor.
Limited Five Year Warranty on Jetclean System and Solid State Controls
Any parts of the Jetelean system including the complete power module assembly, center spray nozzle, spray arms, top wash
arm hose, motor, AND--.on Computer Touch Control Models only_any microprocessor and touch pad assemblies which fidl
in normal home use during the second through tire fifth year from the date of original retail purchase. \_11 be repaired or
replaced free of charge for the part itself, with the owner paving all other costs, including labor,
Limited Five Year Warranty- Against Rust
Should any of the parts listed below rust during the five year period starting from the date of original retail purchase, repair or
replacement will be made free of charge during the first year. After the first and through the fifth year, repair or replacement
will be made free of charge for the part itself, _4d_ the oxener pa_ing all other costs, including labor. Parts o3vered by this
warranty are the exterior cabinet and front panels of convertible models: the exterior front panels of built-in models, and
Nylon coated racks (available on select models).
FULL TWEN_IT Year Warranty Against Leaks on Dishwasher Tub and Door Liner
Should a water leak develop in the mb or door liner in normal home use during the TWEN'IS' YEAR period starting from the
date of original retail purchase, repair or replacement of the tub and/or door liner _411be made FREE OF CHARGE.
These full warrant/es and the limited warranties apply when the appliance is located in the United States or Canada.
Appliances located elsewhere are covered by the limited warranties only, which include parts which fitil during the first year.
Canadian Residents
This warrantT.eovers only those applianees inst_led in Canada that have been listed with Canadian Standards Association
unless the appliances are brought into Canada due to transfer of residence from the United States to Canada.
TO RECEIVE WARRANTY SERVICE
First: Call or _te the MAY'rAG dealer from whom your appliance was purebased or the authorized service finn
designated by' the dealer.
If you have moved from the selling dealer's service area call or x_te any authorized MA'fI'AG dealer or
authorized service finn at vour new location. Check the telephone director)' yellow pages to identify the dealer
or sendce firm in your area.
Second: Should ),our contact with the dealer or the ser_4ce firm fitil to satistactorily resolve the problem, contact the manager
of the dealership or the manager of the service firm for assistance.
Third: Should you not receive satisfactory warranty service from one of the above or need help in identil)4ng a, authorized
service firm write MAYCOR Appliance Parts and Service Company, a di_%ion of Maytag Corporation, P.O. Box
2370, Cleveland, TN 373I i, and arrangements for warranty service will be made. if the probleln is urgent, call
MAYCOR at (615) 472-3333.
When contacting MAYCOR be sure to include the model and serial number of your appliance, the nmne and
address of the dealer from whom you purchased the appliance and the date of purchase.
This Warranty gives you specific legal rights, and you may also bave other rights which raft from state to state.
Should you still have a problem, _wite to:, Major Appliance Consumer Action Panel, 20 North Wacker Drive, Chicago,
Illinois 60606. MACAP is an indust_' sponsored but independent group of consumer experts who receive and act on
complaints from apphanee owners.
NOTE: When writing about an unsolved service problem, please include the following informatiom
(a) Your name, address and telephone number;
(b) Model number and serial number (found on the upper left comer of the tub opening) of your appliance;
(c) Name and address of your dealer and date the appliance was bought;
(d) A clear description of the problem you are having;
(e) Water hardness, detergent brand and amount, water temperature, and cTale used.
MAYTAG COMPANY Newton, Iowa 50208
Form No. 817FE Part No.9-12691 MP kitho U.S.A.

Related product manuals