EasyManua.ls Logo

Maytag Jetclean - To Receive Warranty Service

Maytag Jetclean
18 pages
Print Icon
To Next Page IconTo Next Page
To Next Page IconTo Next Page
To Previous Page IconTo Previous Page
To Previous Page IconTo Previous Page
Loading...
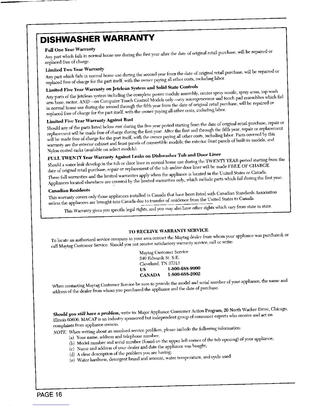
DISHWASHER WARRANTY
Full One Year Warranty
Ally part which fails in normal home use during the first year after tile date of original retail purchase, will be repaired or
replaced free of charge.
Limited Two Year Warranty
Any part which fails m normal home use during the second year from the date of original retail purchase, will be repaired or
replaced free of charge for the part itself_ with the owner paying all other costs, induding labor.
Limited Five Year Warranty on Jetclean System and solid State Controls
Any parts of the Jetclean system including the complete power module assembly, center spray nozzle, spray arms, top wash
arm hose, motor, AND--on Computer Touch Control Models only--any microprocessor and touch pad assemblies which fail
in normal home use during the second through the fifth year from the date of original retail purchase, will be repaired or
replaced free of charge for the part itself, with the owner paying all other costs, including labor.
Limited Five Year Warranty Against Rust
Should any of the pa_ listed below rust during the five year period starting from the date of original retail purchase, repair or
replacement will he made free of charge dilring the first year. After the first and through the fifth year, repair or replacement
will be made free of charge for the part itself, with the owner paying all other costs, including labor. Parts covered by this
warranty are the exterior cabinet and fi-ont panels of convertible models; the exterior i_-ontpanels of built-in models, and
Nylon coated racks (available on select models).
FULL TWENTY Year Warranty Against Leaks on Dishwasher Tub and Door Liner
Should a water leak develop in the tab or door liner i, normal home use during the TWENTY YEAR period starting from the
date of original retail purchase, repair or replacement of the tub and/or door liner will be made FREE OF CHARGE.
These full warranties and the limited warranties apply when the appliance is located in the United States or Canada.
Appliances located elsewhere are covered by the limited warranties oldy, which include parts which fail during the first year.
Canadian Residents
This warranty covers only those appliances installed in Canada that have heen listed with Canadian Standards Association
unless the appliances are brought into Canada due to transfer of residence from the United States to Canada.
This Warraniy gives you specific legal rights, and yorz may"also have other rights which vary from state to state.
TO RECEIVE WARRANTY SERVICE
To locate an authorized service company in your area contact the Maytag dealer from whom your appliance was purchased; or
call Maytag Customer Service. Should you not receive satisfactory warranty service, call or write:
Maytag Customer Service
240 Edwards St. S.E.
Cleveland, TN 37311
US 1-800-688-9900
CANADA 1-800-688-2002
When contacting Maytag Customer Service be sure to pro,A de the model and serial number of your appliance, the name and
address of the dealer from whom you purchased the appliance and the date of purchase.
Should you still have a problem, write to: Major Appliance Consumer Action Program, 20 North Wacker Drive, Chicago,
Illinois 60606. MACAP is an industry" sponsored but independent group of consumer experts who receive madact on
complaints from appliance owners.
NOTE: When writing about an unsolved service problem, please include the follo_'ing information:
(a) Your name, address and telephone number;
(b) Model number and serial number (found on the upper left corner of the tab opening) of your appliance;
(c} Name and address of your dealer and date the appliance w_tsbought;
(d) A dear description of the problem you are having;
(e) Water hardness, detergent brand and amount, water temperature, and cycle used.
PAGE16

Related product manuals