EasyManua.ls Logo

Midea CS11M-09HRFN1-MX0W - 7. Operation Characteristics

Midea CS11M-09HRFN1-MX0W
80 pages
To Next Page IconTo Next Page
To Next Page IconTo Next Page
To Previous Page IconTo Previous Page
To Previous Page IconTo Previous Page
Loading...
15
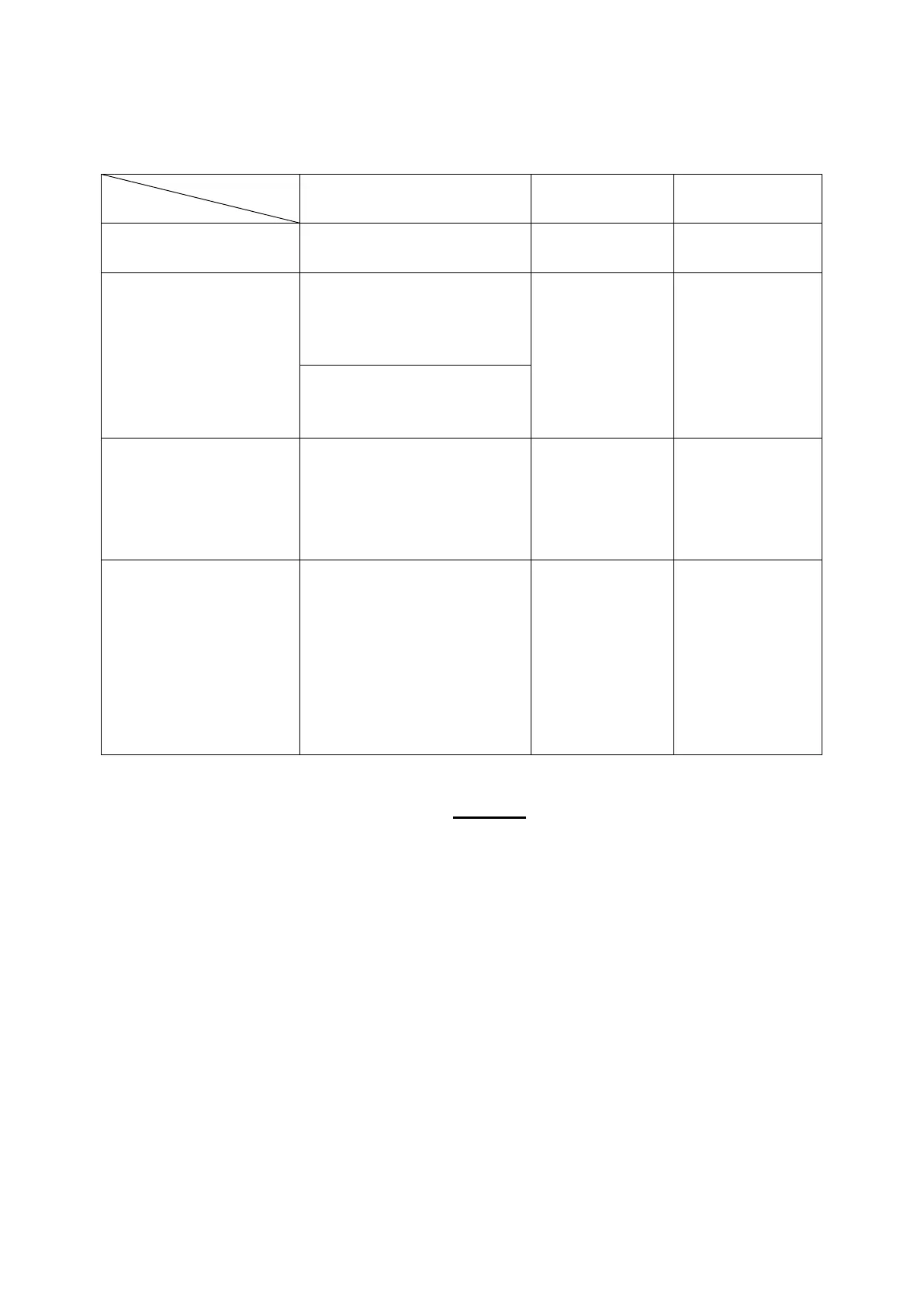
7. Operation Characteristics
Temperature
Mode
Cooling operation
Heating operation
Drying operation
Room temperature
17℃~32
(62℉~90)
0℃~30
(32℉~86)
10℃~32
(50℉~90)
Outdoor temperature
(MS11M-30HRFN1-MR0W,
MS11M-36HRFN1-MN10W)
0°C 50°C
(32°F122°F)
-15°C 30°C
(5°F86°F)
0°C 50°C
(32°F122°F)
-15°C 50°C
(5°F122°F)
(need low ambient cooling function)
Outdoor temperature
(MS11M-09HRFN1-BW0W,
MS11M-12HRFN1-BV0W,
MS11M-09HRFN1-MZ65W(A),
MS11M-12HRFN1-MZ10W)
-25°C 50°C
(-13°F122°F)
-25°C 30°C
(-13°F86°F)
0°C 50°C
(32°F122°F)
Outdoor temperature
(CS11M-09HRFN1-MX0W(A),
CS11M-12HRFN1-MU5W,
CS11M-18HRFN1-MT0W,
CS11M-23HRFN1-MT0W,
MS11M-09HRFN1-MZA5W(A),
MS11M-12HRFN1-MZ50W(A),
MS11M-17HRFN1-MW0W)
-30°C 50°C
(-22°F122°F)
-30°C 30°C
(-22°F86°F)
0°C 50°C
(32°F122°F)
󰇛󰇜
󰇛󰇜
+32
CAUTION:
1. If the air conditioner is used beyond the above conditions, certain safety protection features may
come into operation and cause the unit to operate abnormally.
2. The room relative humidity should be less than 80%. If the air conditioner operates beyond this
figure, the surface of the air conditioner may attract condensation. Please set the vertical air flow louver to
its maximum angle (vertically to the floor), and set HIGH fan mode.
3. The optimum performance will be achieved during this operating temperature zone.

Related product manuals