EasyManua.ls Logo

MobilSat MSP-S - Menu Tree

Default Icon
12 pages
Print Icon
To Next Page IconTo Next Page
To Next Page IconTo Next Page
To Previous Page IconTo Previous Page
To Previous Page IconTo Previous Page
Loading...
MobilSat
+
User’s manual
Page 8 of 12
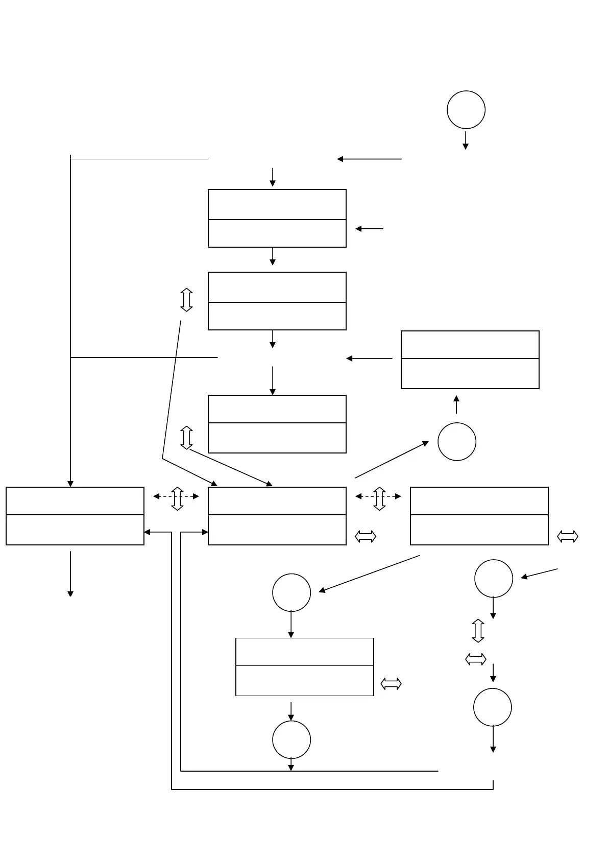
4. Menu tree
POSITIONING ON THE
LAST POSITION
On/Off
SATELLITE FOUND?
SAT FOUND
< Sat name >
SAT NOT FOUND
AUTOMATIC SEARCH
SATELLITE FOUND?
SAT NOT FOUND
NO SIGNAL
YES
YES
NO
SEARCH FOR SAT
< Sat name >
SAT3
SAT2
SEARCH MODE
AUTOMATIC
MANUAL
Ok Menu
ANTENNA MOVING
< Sat2 name >
AUTOMATIC SEARCH
ALL SECTORS
Ok Menu
Ok Menu
UP
DOWN
CW
CCW
Ok Menu
Ok Menu
NORTH EUROPE
CENTER EUROPE
SOUTH EUROPE
NORMAL
OPERATIONS
2 sec pause
AUTOMATIC SEARCH
< Sat name >
During automatic
search
SATELLITE FOUND?
YES
NO

Other manuals for MobilSat MSP-S