EasyManua.ls Logo

Morso 6148 B - Page 116

Morso 6148 B
373 pages
Print Icon
To Next Page IconTo Next Page
To Next Page IconTo Next Page
To Previous Page IconTo Previous Page
To Previous Page IconTo Previous Page
Loading...
Bemærkninger:
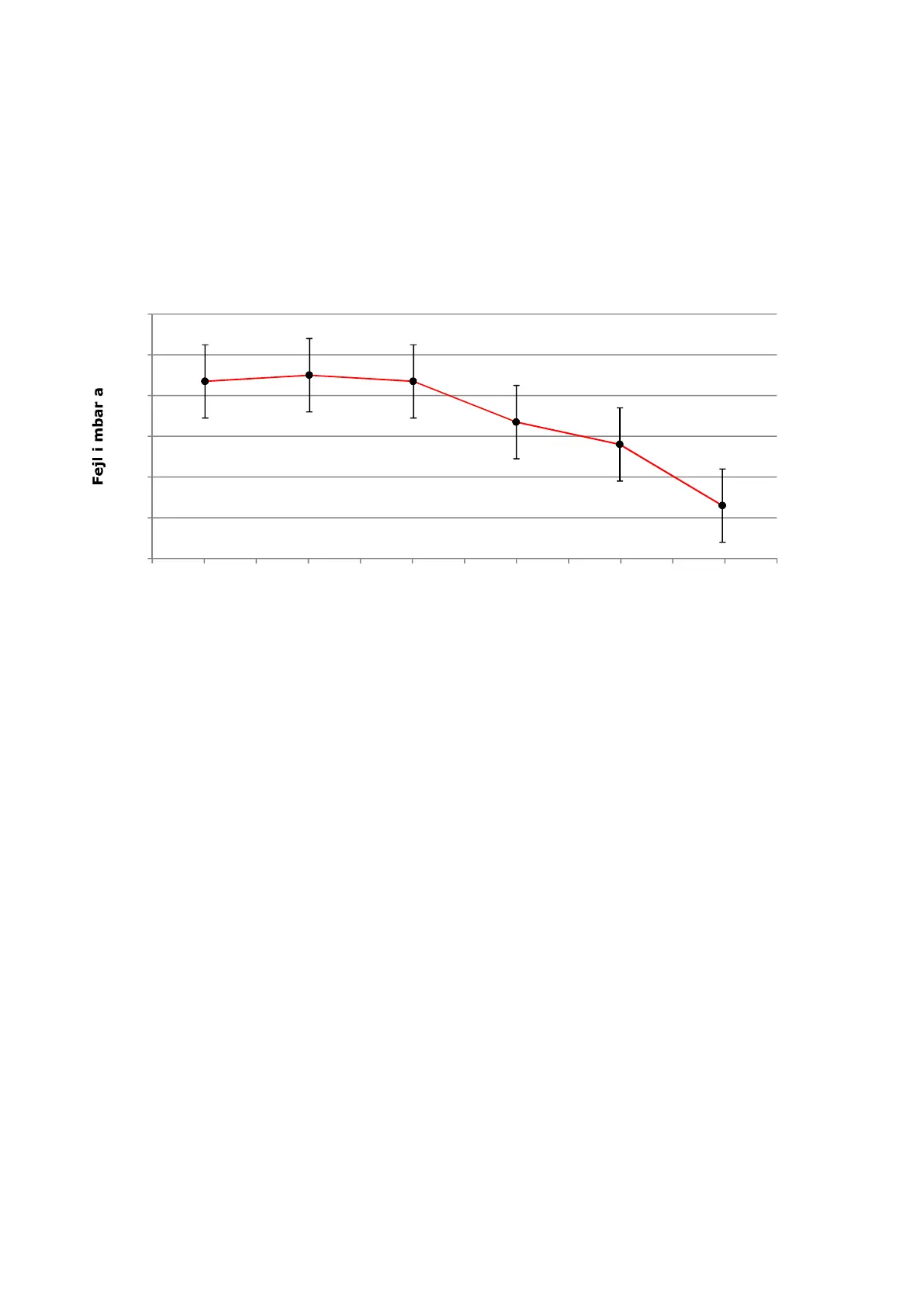
Fejl = aflæsning middel - referenceværdi.
Den beregnede standardusikkerhed inkluderer relevante korttidsbidrag samt den
halve hysterese fra det kalibrerede emne.
Den rapporterede ekspanderede usikkerhed er angivet som standardusikkerheden af
målingen multipliceret med dækningsfaktoren k=2, således at dækningssandsynligheden
svarer til ca. 95 %.
Kalibreringsforhold:
Prøvemedium:
Nitrogen
Rumtemperatur:
20,6 °C ± 0,3 °C
Relativ fugtighed:
46,2 %rh ± 4,2 %rh
Barometerstand:
1026 mbar ± 2,0 mbar
Sporbarhed:
Dette kalibreringscertifikat er omfattet af DANAK akkreditering og EA's og ILAC's
multilaterale aftaler for kalibrering, hvilket sikrer, at målingerne er sporbare
til SI enhedssystemet.
Fejlkurve
Kun de markerede punkter er målt.
TRYKLABORATORIET
TEKNOLOGISK INSTITUT
Certifikat nr.: 200-P-24401 Side 4 af 4
KALIBRERINGSCERTIFIKAT
-0,8
-0,6
-0,4
-0,2
0,0
0,2
0,4
940 950 960 970 980 990 1000 1010 1020 1030 1040 1050 1060
Aflæsning middel i mbar a