EasyManua.ls Logo

Motorola MTX series - Page 128

Motorola MTX series
639 pages
To Next Page IconTo Next Page
To Next Page IconTo Next Page
To Previous Page IconTo Previous Page
To Previous Page IconTo Previous Page
Loading...
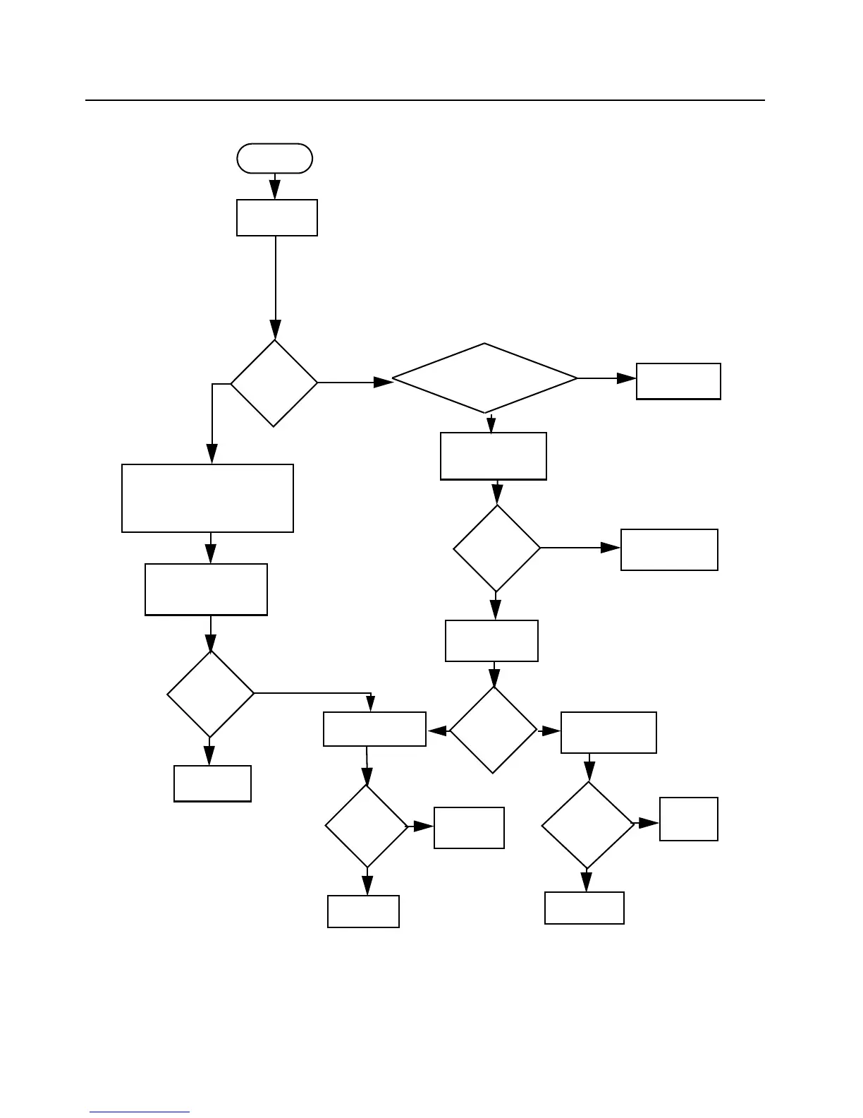
8-38 Maintenance: Low Band Troubleshooting Charts
8.13.4 Troubleshooting Flow Chart for Transmitter
START
No Power
Is Current ~ 2 A?
Is control voltage at U101
Pin 1 > 5 VDC
Check PCIC
1. Check Pin Diodes
2. Check Harmonic Filter
3. Check PA Bias
Inspect/Repair Tx.
Output Network
Is Power OK?
Done
Check input to U101,
Pin 16
Is voltage
> 1 Vpp?
Troubleshoot VCO
Check level U101,
Pin 6
Is level
>5 Vpp?
Is Power
OK?
Replace
Q101
Yes
No
No
Yes
No
Yes
No
Yes
Yes
No
Yes
No
Check components
around U101
Is Power OK?
Done
Replace
U101
No
Check components
around Q100
Yes
Done

Table of Contents

Other manuals for Motorola MTX series

Related product manuals