EasyManua.ls Logo

Motorola TLKR T60

Motorola TLKR T60
134 pages
To Next Page IconTo Next Page
To Next Page IconTo Next Page
To Previous Page IconTo Previous Page
To Previous Page IconTo Previous Page
Loading...
Русский
6
Для передачи выбранного сигнала вызова:
1. для передачи выбранного сигнала вызова. Выбранный
сигнал будет автоматически передаваться в течение
фиксированного отрезка времени.
2. Нажмите PTT для отмены сигнала вызова.
Автовыключение
Функция автовыключения позволяет установить время
автоматического выключения радиомодуля.
1. Нажмите кнопку SEL/ для входа в меню выбора.
Продолжайте, пока не появится значок , а текущее
время автовыключения не начнет мигать.
2. или для выбора времени из oF (Выкл.), 60, 120 или
180 минут.
3. Выйдите из меню.
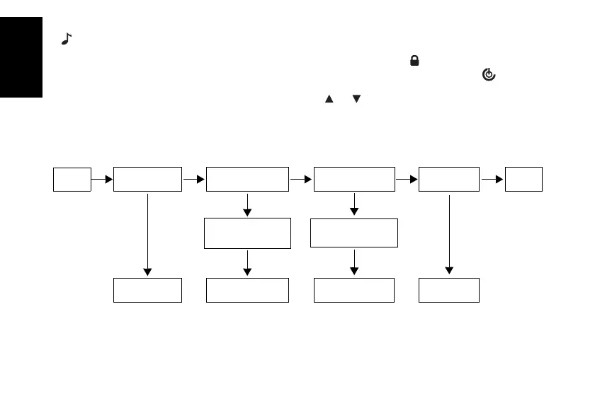
Меню режимов
Навигация по меню режимов осуществляется следующим образом:
Выберите
чувствительность
Норм.
Режим поиска
Режим поиска по
двум каналам
Режим монитора
помещения
Режим
таймера
Выберите канал и
субкод
Норм.
Режим
таймера
Режим монитора
помещения
Режим поиска
Режим поиска по
двум каналам
68015000925_a.book Page 6 Friday, February 24, 2017 10:30 AM

Table of Contents

Related product manuals