EasyManua.ls Logo

Motorola TLKR T60

Motorola TLKR T60
134 pages
To Next Page IconTo Next Page
To Next Page IconTo Next Page
To Previous Page IconTo Previous Page
To Previous Page IconTo Previous Page
Loading...
Norsk
6
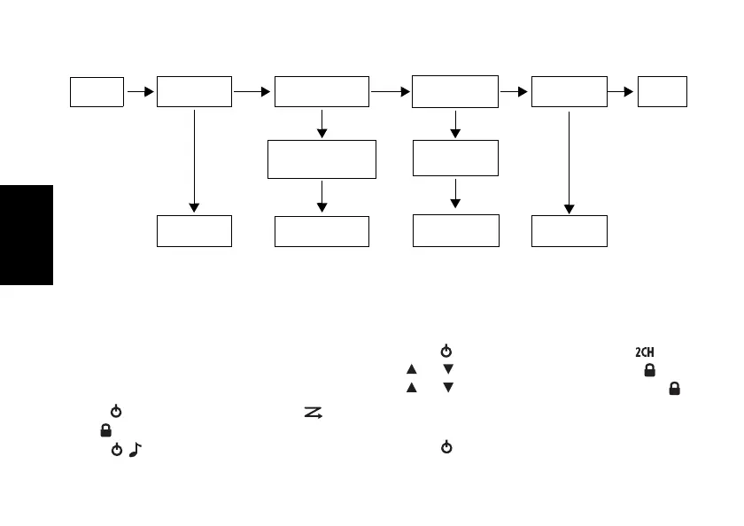
Modusmeny
Radioen navigerer gjennom modusmenyen slik:
Funksjoner på radioen
Kanalsøkemodus
Lar radioen søke etter aktive kanaler. Når radioen oppdager
aktivitet, lander (blir) den på den aktuelle kanalen (i to sekunder).
Hvis du vil sende på denne kanalen, trykker du på PTT-knappen.
Når det ikke lenger er aktivitet på kanalen som radioen stoppet
på, fortsetter radioen å søke etter andre kanaler.
Slik slår du kanalsøk PÅ:
1. MENU/ for å åpne modusmenyen. Gå videre til blinker.
2. SEL/ for å slå kanalsøk PÅ.
3. MENU/, eller PTT for å slå kanalsøk AV.
Tokanalsmodus
Lar radioen bytte mellom å søke etter den gjeldende kanalen og
en annen kanal.
Slik angir du en annen kanal og starter tokanalsmodus:
1. MENU/ for å åpne modusmenyen. Gå videre til blinker.
2. eller for å velge kanal, trykk deretter på SEL/.
3. eller for å velge underkode, trykk deretter på SEL/.
4. Radioen starter tokanalsmodus.
Merk: Tokanalsmodus fungerer ikke hvis du angir samme
kanal og underkode som den gjeldende kanalen.
5. MENU/ for å slå tokanalsmodus AV.
Velg
følsomhet
Normal
Søkemodus
Tokanalsmodus
Romovervåkn-
ingsmodus
Modus for
oppetid
Velg kanal og
underkode
Normal
Søkemodus
Tokanalsmodus
Romovervåkn-
ingsmodus
Modus for
oppetid
68015000925_a.book Page 6 Friday, February 24, 2017 10:30 AM

Table of Contents

Related product manuals